Russian Federation
Russian Federation
Moscow, Russian Federation
Ramenskiy rayon, d. Vereya, Moscow, Russian Federation
UDC 664.959.5
The development of efficient resource-saving technologies for the production of gelatin from underutilized fish processing waste is of great importance for the country's food security due to the prevalence of imported products on the domestic market. Gelatin is supplied to consumers in the form of powder or plates. To improve the gelatin drying process, it is promising to use radiation energy supply in relation to the foamed product, which necessitates a comprehensive study of the material, including research and analysis of its optical and thermoradiation properties. The article presents the results of a study of the features of thermal energy absorption by an optically thin layer of foamed ichthyogelatin obtained from the scales of fish from the Astrakhan region, when irradiated by a number of radiation generators (emitters). The studies were carried out experimentally and analytically using a UV-Vis-NIR Cary 5000 spectrophotometer (Varian) with product irradiation by different generators. As a result, the dependences distributions of the volumetric density of the absorbed radiation energy by the depth of an optically thin ichthyogelatin foam layer were obtained and analyzed, valid for the humidity range of 0.14 ≤ w ≤ 0.76, kg/kg and a foam layer depth of 0.000 ≤ x ≤ 0.004, m. The specified dependences are applicable for subsequent modeling of non-stationary temperature fields in the product during radiation or convective-radiation foam drying of the product (including in a vibrofluidized bed of granules) with a total heat flux density E = 3 060 W/m2 supplied to the product, which is rational for the implementation of the process. As a result of the analysis of the dependencies, as well as the ratio of the spectral characteristics of the radiation generators and the studied product irradiated by them, the expediency of using quartz halogen tubes emitters with a voltage of 220 V supplied to them was confirmed to ensure the most uniform heating of the ichthyogelatin foam layer in the infrared spectral range of 800 ≤ λ ≤ 2 500 nm during the entire drying process and, accordingly, more efficient implementation of the moisture removal process.
foam layer, ichthyogelatin, fish waste, radiation energy supply, thermoradiative characteristics, heat flow, optical characteristics
Введение
На сегодняшний день желатин остается одним из наиболее востребованных продуктов животного происхождения, поставляемых потребителям в сухом виде и имеющих широкий спектр применения, в том числе в производстве продуктов питания, лекарственных препаратов и косметических средств. Следует отметить, что высокая потребность в желатине удовлетворяется импортной продукцией, доля которой на российском рынке превышает 90 % [1], что обостряет необходимость создания новых конкурентоспособных технологий получения продукта, в том числе из альтернативных коллагенсодержащих источников, в частности из отходов рыбной промышленности [2–4]. Отходы переработки рыбы представляют собой богатый коллагеном, но мало освоенный источник сырья. Создание эффективного производства желатина на основе подобных отходов нуждается в совершенствовании каждой стадии производства, в том числе заключительного процесса – процесса сушки желатинового бульона – как наиболее энергоемкого, влияющего на качество получаемого сухого продукта [5, 6]. Сушка при инфракрасном (радиационном) энергоподводе, в сравнении с традиционно применяющейся в промышленности конвективной сушкой термолабильных пищевых и кормовых продуктов, является более перспективным подходом для ускорения процесса обезвоживания термолабильных материалов, к которым относится желатин [6–8]. Вместе с тем создание инфракрасных сушилок для переработки желатинового бульона и внедрение такой техники в производство сухого желатина, в том числе разработка рациональных режимов влагоудаления, затруднительны без комплексного исследования свойств обезвоживаемого материала, в частности оптических и терморадиационных, без их учета при выборе технических решений реализации процесса сушки [6, 9]. Целью исследований являлось изучение особенностей поглощения тепловой энергии оптически тонким слоем вспененного ихтиожелатина при его нагреве различными генераторами излучения (излучателями) как исходных данных для совершенствования процесса конвективно-радиационной пеносушки гранул продукта в виброкипящем слое.
Объекты и методы исследования
Для достижения поставленной цели было необходимо получить зависимости W = f(х, w), Вт/м3, распределения объемной плотности поглощенной энергии излучения по глубине слоя вспененного ихтиожелатина х, м, являющегося оптически тонким слоем, для диапазона влажности продукта w, кг/кг, соответствующего реальной влажности в процессе сушки слоя при его двустороннем облучении различными генераторами. Зависимости W = f(х, w), Вт/м3, были рассчитаны с использованием метода усредненных оптических и терморадиационных характеристик материала. В качестве исходных данных для расчета зависимостей использовались направленно-полусферические терморадиационные характеристики исследуемого продукта, а также приведенные в литературных источниках сведения о спектральных характеристиках генераторов излучения [6, 10, 11]. Поскольку гранула (частица) исследуемого материала в процессе сушки в виброкипящем слое вращается вокруг своей оси при хаотичном движении, перемешивании и соударении с соседними гранулами, для расчета принято, что процесс влагоудаления осуществляется при объемном двустороннем радиационном энергоподводе. Для удобства и интенсификации вычислений на основе указанного метода разработана программа для ЭВМ, позволяющая осуществить расчет оптических характеристик пищевых и кормовых материалов (паст, гелей, фаршей, плодоовощных продуктов и т. п.) как объектов сушки в оптически тонком слое при двустороннем инфракрасном энергоподводе [12].
В качестве объектов исследования использовались образцы вспененного ихтиожелатина в форме пластин квадратной формы и заданной толщины (h = 0,002 м и h = 0,004 м) в гелеобразном (влажном) и обезвоженном (сухом) состоянии. Используемый для формирования образцов желатин получали посредством экстрагирования из отходов переработки промысловой и прудовой рыбы – из чешуи толстолобика, карпа, сазана, а также белого амура. Экстрагирование продукта осуществлялось по методике, подробно описанной в работе [4]. Данные о спектрах отражения Rλ, %, и пропускания Tλ, %, (терморадиационных, направленно-полусферических свойствах) образцов получены на спектрофотометре UV-Vis-NIR Cary 5000 (Varian) с приставкой интегрирующей сферы DRA-2500, для чего образцы устанавливались в держатель прибора; гелеобразные образцы предварительно помещались в кварцевую кювету. В табл. 1 приведены значения основных параметров, принятых для проведения исследований.
Таблица 1
Table 1
Основные параметры исследований оптических и терморадиационных характеристик
вспененного ихтиожелатина из чешуи промысловой (частиковой) и прудовой рыбы
The main parameters of optical and thermoradiological characteristics studies foamed ichthyogelatin
from scales of commercial (particle) and pond fish
|
Параметр |
Значение |
|
Влажность продукта w, кг/кг |
0,14 ≤ w ≤ 0,76 |
|
Спектральный диапазон λ, нм |
800 ≤ λ ≤ 2 500 |
|
Глубина оптически тонкого слоя х, м |
0,000 ≤ х ≤ 0,004 |
|
Плотность генерируемого излучателем теплового потока, падающего с одной стороны слоя Еп, Вт/м2 (общая плотность подводимого к слою теплового потока Е = 3 060 Вт/м2) |
1 530 |
Выбор диапазона инфракрасной области спектра обусловлен техническими характеристиками спектрофотометра UV-Vis-NIR Cary 5000 (Varian), вместе с тем диапазон согласуется с литературными данными аналогичных исследований в отношении других биополимерных материалов [6, 10–13]. Диапазон влажности исследуемого материала в отношении нижней границы обусловлен требованиями ГОСТ 11293-2017 к качеству сухого желатина, в отношении верхней – свойствами образуемой из раствора ихтиожелатина пеноструктуры, при которых достигается наибольшая стабильность пены, что, в свою очередь, позволяет обеспечить более эффективную реализацию процесса влагоудаления [6]. Верхняя граница глубины оптически тонкого слоя соответствует его толщине h, м, выбор которой основан на эмпирических данных, полученных в результате предварительных экспериментальных исследований пеносушки ихтиожелатина при конвективно-радиационном энергоподводе [8]. Значение величины Еп (см. табл. 1) для исследований выбрано на основе данных предварительных экспериментов по реализации процесса конвективно-радиационной пеносушки гранул ихтиожелатина в виброожиженном состоянии, а также данных научно-технической литературы [6, 8]. Расчет оптических характеристик проводился с использованием сведений об относительной интенсивности электромагнитного излучения в рассматриваемом диапазоне спектра следующих генераторов излучения [6, 10, 11]: металлическая плитка (МП), кварцевый излучатель (кварцевая галогенная трубка КГТ-220-1000), трубчатый электронагреватель (ТЭН), плитка газового инфракрасного излучения (ПГИИ), нихромовая спираль в кварцевой трубке (НС).
Результаты и обсуждение
Примеры полученных на спектрофотометре данных о спектрах отражения Rλ, %, и Tλ, %, в отношении объектов исследования представлены на рис. 1 и 2.

Рис. 1. Кривые направленно-полусферических терморадиационных характеристик пенослоя ихтиожелатина
толщиной hн = 0,004 м (¾) и hн = 0,002 м (- - -) при w = 0,76 кг/кг
Fig. 1. Curves of directional hemispherical thermal radiation characteristics of a foam layer of ichthyogelatin
with a thickness of hн = 0.004 m (¾) and hн = 0.002 m (- - -) at w = 0.76 kg/kg

Рис. 2. Кривые направленно-полусферических терморадиационных характеристик пенослоя ихтиожелатина
толщиной hн = 0,004 м (¾) и hн = 0,002 м (- - -) при w = 0,14 кг/кг
Fig. 2. Curves of directional hemispherical thermal radiation characteristics of a foam layer of ichthyogelatin
with a thickness of hн = 0.004 m (¾) and hн = 0.002 m (- - -) at w = 0.14 kg/kg
Графики рис. 1, 2 демонстрируют, что независимо от влажности при увеличении толщины слоя hн уменьшается пропускательная способность продукта и увеличивается отражательная, что закономерно. Сопоставление направленно-полусферических терморадиационных характеристик пенослоя ихтиожелатина (в частности, пропускательной способности пенослоя Tλ, %) со спектральными характеристиками генераторов излучения (рис. 3) позволяет сделать вывод о том, что для исследуемого материала в рассматриваемом спектральном диапазоне именно для излучателей КГТ (при 220 В) максимальные значения излучения соответствуют области высокой проницаемости пенослоя, что, в свою очередь, в сравнении с остальными генераторами излучения способствует более равномерному прогреву обезвоживаемого материала по толщине слоя.

Рис. 3. Относительная интенсивность электромагнитного излучения RλИ, %, различных генераторов излучения (− − −) в сопоставлении со спектром пропускания Tλ, %,
объектов исследования (―) для рассматриваемых λ, hн и w: w = 76 % (а); w = 14 % (б)
Fig. 3. The relative intensity of electromagnetic radiation RλИ, %, from various radiation generators (− − −) in comparison with the transmission spectrum Tλ, %,
of the objects of study (―) for the considered λ, hн and w: w = 76% (a); w = 14% (б)
Предложенную в работе [6] модель распределения объемной плотности поглощенной энергии излучения по глубине оптически тонкого слоя для случая двустороннего подвода энергии к объекту исследования при приведенных в табл. 1 параметрах можно представить в следующей форме:

где ψ(w, x) = R∞(w) exp(–L(w, х) х); ψ(w, (0,004 – x)) = = R∞(w) exp(–L(w, (0,004 – x)) х); R∞ и L – получаемые расчетным путем оптические характеристики объекта исследования, м–1. Величина R∞ характеризует спектральную отражательную способность оптически полубесконечного слоя. Коэффициент L, м–1, отображает эффективное ослабление потока излучения по мере его распространения в оптически бесконечно толстом слое. В результате расчетов получены следующие уравнения оптических характеристик:

где a–a5, b–b5 – коэффициенты (табл. 2).
Таблица 2
Table 2
Значения коэффициентов уравнений оптических характеристик R∞ и L, м–1, вспененного ихтиожелатина
для различных генераторов излучения
Values of the coefficients of the equations of optical characteristics R∞ and L, m–1, of foamed ichthyogelatin
for various radiation generators
|
Коэффициент |
КГТ |
НС |
МП |
ПГИИ |
ТЭН |
|
Значения коэффициентов уравнений оптической характеристики R∞ |
|||||
|
a |
–0,26026144 |
–0,22258200 |
–0,21611265 |
–0,22508261 |
–0,22583778 |
|
b |
0,64582729 |
0,36788678 |
0,34547198 |
0,38440505 |
0,29739606 |
|
Значения коэффициентов уравнений оптической характеристики L, м–1 |
|||||
|
a1 |
–23,59344990 |
13,11024980 |
20,05785089 |
5,26252715 |
2,92185466 |
|
b1 |
–11,55582932 |
–29,50033803 |
–30,45467228 |
–30,21884696 |
–6,04349423 |
|
a2 |
188,74759919 |
–104,88199840 |
–160,46280715 |
–42,10021723 |
–23,37483728 |
|
b2 |
92,44663458 |
236,00270421 |
243,63737827 |
241,75077570 |
48,34795381 |
|
a3 |
–379,28326335 |
248,76137285 |
381,22873153 |
101,80538189 |
88,62540225 |
|
b3 |
–87,11633569 |
–497,50149328 |
–522,58702520 |
–503,36670760 |
–103,94108118 |
|
a4 |
7,15225988 |
–155,98950421 |
–241,21246891 |
–70,41978968 |
–167,50291079 |
|
b4 |
–391,10773385 |
101,98433946 |
141,24907465 |
79,46062482 |
28,98069420 |
|
a5 |
768,18071815 |
395,72972629 |
246,11230261 |
480,92862488 |
53,20563789 |
|
b5 |
1 258,04962670 |
1 842,70120432 |
1 896,35562644 |
1 805,19442797 |
1 999,24452873 |
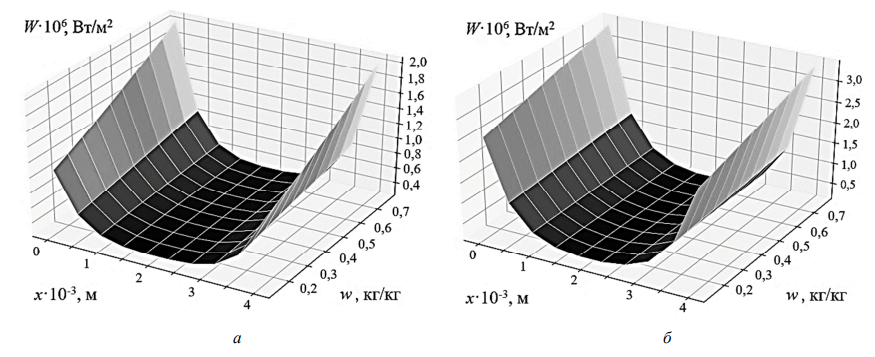
Полученные зависимости величины W, Вт/м3, от глубины слоя и влажности продукта, характеризующие соотношение между интенсивностью внутреннего переноса тепла в продукте и объемным источником, актуальны для дальнейшего моделирования тепломассообмена в объекте исследования при его нагреве различными генераторами излучения, поскольку входят в систему дифференциальных уравнений теплопереноса. На рис. 4 и 5 изображены сгенерированные программой для ЭВМ примеры графических интерпретаций зависимостей W = f(х, w), Вт/м3, в том числе W = f(х), Вт/м3, при w = const (Еп = 1 530 Вт/м2), в диапазоне 0,000 ≤ х ≤ 0,004 м:
– для диапазона 0,14 ≤ w ≤ 0,76 кг/кг и при объемном радиационном нагреве продукта излучателями КГТ и нихромовой спиралью при Еп = 1 530 Вт/м2 (рис. 4);
– для w = 0,14 кг/кг и w = 0,76 кг/кг и объемном радиационном нагреве продукта различными генераторами излучения при Еп = 1 530 Вт/м2 (рис. 5).

Рис. 4. Графическая интерпретация зависимостей W = f(х, w) для образцов ихтиожелатина в диапазоне влажности
0,14 ≤ w ≤ 0,76 кг/кг и диапазоне глубины слоя 0,000 ≤ х ≤ 0,004 м при двустороннем подводе к продукту энергии
с плотностью теплового потока Еп = 1 530 Вт/м2: излучатель КГТ (а); нихромовая спираль (б)
Fig. 4. Graphical interpretation of the dependences W = f(x, w) for ichthyogelatin samples in the humidity range
0.14 ≤ w ≤ 0.76 kg/kg and the layer depth range 0.000 ≤ x ≤ 0.004 m with two-way energy supply to the product
with a heat flux density Eп = 1 530 W/m2: KGT (a) radiator; nichrome spiral (б)

Рис. 5. Графическая интерпретация зависимостей W = f(х) для влажных и сухих образцов ихтиожелатина
в диапазоне глубины слоя 0,000 ≤ х ≤ 0,004 м при w = const и двустороннем подводе
к продукту энергии различными генераторами излучения с плотностью теплового потока
Еп = 1 530 Вт/м2: w = 76 % (а); w = 14 % (б)
Fig. 5. Graphical interpretation of the dependences W = f(x) for wet and dry ichthyogelatin samples in the layer depth range
of 0.000 ≤ x ≤ 0.004 m at w = const and two-way energy supply to the product by various radiation generators
with a heat flux density of Eп = 1 530 W/m2: w = 76% (a); w = 14% (б)
Характер построенных в отношении пенослоя ихтиожелатина поверхностей W = f(х, w) и кривых W = f(х) (w = const) указывает на то, что излучателями КГТ (при 220 В) в сравнении с остальными излучателями при одной и той же плотности подводимого к пенослою теплового потока обеспечивается минимальная неоднородность распределения плотности поглощенной энергии по глубине оптически тонкого слоя во всем рассматриваемом диапазоне влажности объекта исследования (см. рис. 4, 5), т. е. продукт прогревается более равномерно при облучении излучателями КГТ. Данное соотношение кривых W = f(х) (w = const) также характерно и для других биополимерных материалов, нагреваемых аналогичными генераторами излучения, например, для таких капиллярнопористых коллоидных тел, как слой вспененной томатной пасты с добавлением 20 % раствора ихтиожелатина в качестве пенообразователя и стабилизатора, слой мякоти томата сорта «Сливка гигант». На рис. 6, 7 показаны примеры полученных с использованием указанных методов исследования кривых W = f(х), соответственно, для пластин заданной толщины h = 0,004 м вспененной томатной пасты с добавлением 20 % раствора ихтиожелатина (влажность пластин w = 78 % и w = 10 %) при Еп = 840 Вт/м2 (рис. 6) и мякоти томата (влажность пластин w = 92 % и w = 6 %) при Еп = 1 690 Вт/м2 (рис. 7).

Рис. 6. Графическая интерпретация зависимостей W = f(х) для влажных и сухих образцов (пластин)
вспененной томатной пасты с добавлением 20 % раствора ихтиожелатина в диапазоне глубины слоя
0,000 ≤ х ≤ 0,004 м при w = const и двустороннем подводе к продукту энергии различными генераторами излучения
с плотностью теплового потока Еп = 840 Вт/м2: w = 78 % (а); w = 10 % (б)
Fig. 6. Graphical interpretation of the dependences W = f(x) for wet and dry samples (plates) of foamed tomato paste with the addition of 20% ichthyogelatin solution in the layer depth range of 0.000 ≤ x ≤ 0.004 m with w = const and two-way energy supply to the product by various radiation generators with a heat flux density of Eп = 840 W/m2: w = 78% (a); w = 10% (б)

Рис. 7. Графическая интерпретация зависимостей W = f(х) для влажных и сухих образцов (пластин) мякоти томата
в диапазоне глубины слоя 0,000 ≤ х ≤ 0,004 м при w = const и двустороннем подводе
к продукту энергии различными генераторами излучения с плотностью теплового потока Еп = 1 690 Вт/м2:
w = 92 % (а); w = 6 % (б)
Fig. 7. Graphical interpretation of the dependences W = f(x) for wet and dry tomato pulp samples (plates)
in the layer depth range of 0.000 ≤ x ≤ 0.004 m with w = const and two-way feed to the energy product
of various radiation generators with a heat flux density of Eп = 1 690 W/m2: w = 92% (a); w = 6% (б)
Факт более равномерного прогрева продукта при энергоподводе излучателями КГТ, наряду с результатами сопоставления эмиссионных характеристик генераторов излучения и пропускательной способности пенослоя (см. рис. 3), также свидетельствует о том, что применение излучателей КГТ для реализации процесса конвективно-радиационной пеносушки гранул вспененного желатина в виброкипящем слое является более рациональным в сравнении с остальными рассматриваемыми излучателями.
Заключение
В результате исследования особенностей поглощения оптически тонким слоем вспененного ихтиожелатина (толщиной hн = 0,004 м) тепловой энергии, подведенной к продукту различными генераторами излучения, а также в результате сопоставления эмиссионных характеристик генераторов излучения и пропускательной способности пенослоя подтверждена целесообразность использования излучателей КГТ (при подаваемом на излучатели напряжении 220 В) для совершенствования процесса конвективно-радиационной пеносушки гранул продукта в виброкипящем слое. В отношении различных генераторов излучения получены зависимости распределения объемной плотности поглощенной энергии излучения от влажности w, кг/кг, и глубины слоя продукта x, м, применимые для последующего моделирования нестационарных полей температуры в продукте при его радиационной или конвективно-радиационной двусторонней сушке с суммарной плотностью подводимого к продукту теплового потока Е = 3 060 Вт/м2, являющейся рациональной для реализации процесса.
1. Rynok zhelatina v Rossii – rost potrebleniya na fone osvoeniya proizvodstva zhelatina v Rossii [The gelatin market in Russia – the growth of consumption against the background of the development of gelatin production in Russia]. Agentstvo C-Mar Inform. Available at: https://clck.ru/3MDmgB (accessed: 20.03.2025).
2. Prosekov A. Yu., Voroshilin R. A. Proizvodstvo zhelatina – sostoyanie i perspektivy rynka, al'ternativnye istochniki, tekhnologii proizvodstva [Gelatin production – market status and prospects, alternative sources, production technologies]. Vse o myase, 2020, no. 5S, pp. 265-268. DOIhttps://doi.org/10.21323/2071-2499-2020-5S-265-268.
3. Kuchina Yu. A., Kolotova D. S., Derkach S. R. Sposob polucheniya zhelatina iz kozhi treski [The method of obtaining gelatin from cod skin]. Patent 2781627 Ros-sijskaya Federaciya; 17.10.2022.
4. Yakubova O. S., Bekesheva A. A. Sposob polucheniya rybnogo zhelatina [The method of obtaining fish gelatin]. Patent 2722210 Rossijskaya Federaciya; 28.05.2020.
5. Tekhnologiya proizvodstva zhelatina [Gelatin production technology]. OAO «MOZHELIT». Available at: http://gelatin.by/partners/technology (accessed: 30.03.2025).
6. Aleksanyan I. Yu., Bujnov A. A. Vysokointensivnaya sushka pishchevyh produktov. Penosushka. Teoriya. Praktika. Modelirovanie [High-intensity drying of food products. Foam dryer. Theory. Practice. Simulation]. Astrahan', Izd-vo AGTU, 2004. 380 p.
7. Maksimenko Yu. A. Razvitie nauchno-prakticheskih osnov i sovershenstvovanie processov sushki rastitel'nogo syr'ya v dispergirovannom sostoyanii. Dissertaciya ... d-ra tekhn. nauk [Development of scientific and practical foundations and improvement of drying processes of vegetable raw materials in a dispersed state. Dissertation of ... Doctor of Technical Sciences]. Astrahan', 2016. 502 p.
8. Dyachenko N. P., Maksimenko Yu. A., Dyachenko E. P. Razrabotka racional'nyh rezhimov sushki zhelatinovogo bul'-ona iz othodov pererabotki ryby [Development of rational drying modes for gelatin broth from fish processing waste]. Vestnik Astrahanskogo gosudarstvennogo tekhnicheskogo universiteta, 2019, no. 1 (67), pp. 30-36.
9. Bykova S. M., Cydypova O. N., Ochirov V. D., Al-tuhov I. V. Spektral'naya propuskatel'naya sposobnost' tomatnogo i brusnichnogo poroshkov [Spectral transmittance of tomato and lingonberry powders]. Aktual'nye voprosy agrarnoj nauki, 2024, no. 50, pp. 19-27.
10. Il'yasov S. G., Krasnikov V. V. Fizicheskie osnovy infrakrasnogo oblucheniya pishchevyh produktov [The physical basis of infrared irradiation of food products]. Moscow, Pishchevaya promyshlennost' Publ., 1978. 359 p.
11. Ginzburg A. S., Krasnikov V. V., Selyukov N. G. Spektral'nye harakteristiki generatorov izlucheniya i obluchaemyh materialov [Spectral characteristics of radiation generators and irradiated materials]. Elektrotermiya, 1965, vol. 48, pp. 34-37.
12. Aleksanyan I. Yu., Dyachenko E. P., Tezin A. V., Dyachenko N. P., Dyachenko V. P., Maksimenko Yu. A. Programma rascheta opticheskih harakteristik pishchevyh i kormovyh materialov kak ob"ektov infrakrasnoj sushki (dvuhstoronnij energopodvod) [A program for calculating the optical characteristics of food and feed materials as objects of infrared drying (two-way power supply)]. Svidetel'stvo o gosudarstvennoj registracii programmy dlya EVM 2024613768, Rossijskaya Federaciya; 15.02.2024.
13. Il'yasov S. G., Krasnikov V. V. Metody opredeleniya opticheskih i termoradiacionnyh harakteristik pishchevyh produktov [Methods for determining optical and thermal radiation characteristics of food products]. Moscow, Pishchevaya promyshlennost' Publ., 1972. 175 p.



