Россия
Россия
Россия
УДК 662.994 Использование тепла отработавших газов
Термическое обезвреживание нефтесодержащих вод с использованием теплоты отработавших газов судовых дизелей является перспективным направлением минимизации экологического ущерба от водного транспорта. Один из вариантов реализации этого способа основан на распылении нефтесодержащих вод в поток горячих выпускных газов судового дизеля, однако влияние этого процесса на состав продуктов сгорания практически не изучено. Исследуются закономерности изменения концентрации ключевых компонентов продуктов сгорания (кислорода O2, диоксида углерода CO2, монооксида углерода CO, оксидов азота NOx и углеводородов CH) при подаче нефтесодержащих вод в поток горячих выпускных газов. Эксперименты проводились на лабораторном стенде, моделирующем условия газохода судового дизеля, с использованием газовой горелки в качестве источника горячих газов. Эксперимент осуществлялся по плану, построенному на основе планов Плакетта – Бермана, что позволило выявить значимые факторы и их влияние на состав выпускных газов. Эксперимент проведен с варьированием трех факторов: давление подачи нефтесодержащей воды, температура продуктов сгорания и концентрация нефтепродуктов в нефтесодержащих водах. Особое внимание уделено анализу механизмов химических реакций, протекающих при термическом разложении нефтесодержащих вод, включая процессы окисления углеводородов, конверсии оксида углерода CO и образования оксидов азота NOx. Рассмотрены возможные каталитические эффекты, связанные с материалом газохода, а также влияние водяного пара на равновесие реакций. Проведенный дисперсионный анализ позволил определить степень влияния каждого фактора на изменение состава выхлопных газов. Полученные данные создают основу для перехода к интерполяционному (экстремальному) эксперименту.
нефтесодержащие воды, огневое обезвреживание, отсеивающий эксперимент, нормируемые вредные выбросы в отработавших газах судовых двигателей, планирование эксперимента, дисперсионный анализ
Введение
Эффективная очистка нефтесодержащих вод (НСВ) на судах играет ключевую роль в минимизации экологического ущерба от водного транспорта. Одним из перспективных методов решения этой задачи является термическое обезвреживание НСВ с использованием теплоты отработавших газов судовых средне- и высокооборотных дизелей. Метод основан на распылении НСВ в газовыпускном тракте дизеля, где вода испаряется, а содержащиеся в эмульсии нефтепродукты подвергаются термическому разложению и дожиганию в потоке отработавших газов [1, 2]. Однако влияние этого процесса на состав продуктов сгорания изучено недостаточно.
Трудности в исследовании процесса термического обезвреживания обусловлены сложным составом НСВ, в которую входят как горючие вещества (нефтепродукты), так и значительное количество воды. Присутствие воды снижает температуру горения, затрудняет воспламенение и способствует образованию не полностью окисленных соединений, таких как монооксид углерода CO и углеводороды CH. Кроме того, при высоких температурах возможно образование токсичных соединений, включая оксиды азота NOx, особенно при избытке кислорода в зоне горения.
Целью настоящего этапа исследования является установление закономерностей изменения состава продуктов сгорания при подаче различных объемов НСВ в поток горячих газов, а также оценка влияния содержания воды и нефтепродуктов в НСВ на изменение концентрации основных компонентов выбросов: оксида углерода CO, диоксида углерода CO2, кислорода O2, оксидов азота NOx и углеводородов CH.
Исследования на экспериментальном стенде
Для изучения состава выпускных газов при огневом обезвреживании НСВ разработан и использован лабораторный стенд [3], моделирующий условия выпуска газов из судовых дизельных энергетических установок. При моделировании процессов термического обезвреживания НСВ критически важно обеспечить стабильный и контролируемый нагрев. В ходе лабораторных исследований вместо дизельного двигателя в качестве источника продуктов сгорания использована газовая горелка, т. к. она проще в управлении и не зависит от режима нагружения, что обеспечивает стабильные температурные условия. Результаты предварительных испытаний подтвердили допустимость такой замены как по составу продуктов сгорания, так и по температурным режимам [3]. Конструкция стенда (рис. 1) обеспечивает стабильное формирование потока горячих газов с контролируемыми параметрами, что позволяет проводить исследования в условиях, приближенных к реальным, в газоходе судового двигателя.
Рис. 1. Стенд для термического обезвреживания НСВ: 1 – напорный бак НСВ; 2 – газоход; 3 – источник горячих газов; 4 – блок регистрации измерений; 5 – компрессор; 6 – зонд газоанализатора; Т01–T06 – места установки термопар
Fig. 1. Stand for thermal neutralization of oily waters: 1 – pressure tank of oily waters; 2 – flue gas; 3 – source of hot gases; 4 – measurement unit of registration; 5 – compressor; 6 – probe of gas analyzer; T01–T06 – places of installation of thermocouples
В ходе настроечных и доводочных [4] опытов были выделены три ключевых фактора, влияющих на термические и химические процессы в газоходе при подаче в него НСВ:
1) pвпр – давление в трубопроводе подачи НСВ, бар;
2) Tвых – температура продуктов сгорания газового топлива,
С;
3) СНСВ – концентрация нефтепродуктов в НСВ, %.
Для каждого фактора установлены два уровня варьирования – минимальный и максимальный, соответствующие диапазонам, характерным для условий эксплуатации судовых двигателей.
Откликом являются результаты измерения состава выпускных газов на выходе из газохода газоанализатором АГМ-510МВ, приемный зонд которого размещен между термопарами T05 и T06. Так как в дальнейшем результаты исследований будут соотноситься с данными по составу отработавших газов судовых дизелей, то в рассмотрение приняты концентрации кислорода O2, угарного газа CO, оксидов азота NOx и несгоревших углеводородов CH, а также коэффициент избытка воздуха, которые контролируются у судовых дизелей.
Анализ влияния факторов на газовый состав в газоходе в процессе термического обезвреживания НСВ проводился на основе данных отсеивающего эксперимента, выполненного на основе плана Плакетта – Бермана. Каждый фактор дважды варьировался на максимальном и минимальном уровнях, что потребовало для осуществления эксперимента четыре опыта (таблица). В каждом опыте НСВ подавалась с определенной концентрацией и давлением в газоход при заданных характеристиках горячего потока.
Каждый опыт (рис. 2) включал три этапа:
– прогрев газохода до заданной температуры, соответствующей условиям по плану эксперимента;
– подача НСВ с известной концентрацией нефтепродуктов при заданном давлении;
– прекращение подачи НСВ и восстановление исходного режима в газоходе.
План отсеивающего эксперимента
Screening experiment plan
|
Фактор
Опыт |
Концентрация |
Температура продуктов сгорания газового |
Давление в трубопроводе подачи НСВ pвпр, бар |
|
1 |
0,5 |
470 |
2,0 |
|
2 |
0,5 |
570 |
1,6 |
|
3 |
2,5 |
470 |
1,6 |
|
4 |
2,5 |
570 |
2,0 |
Рис. 2. Изменение концентрации веществ в отработавших газах в ходе опыта по термическому обезвреживанию НСВ (показаны активные участки: слева – при прогреве газохода, справа – при подаче НСВ); концентрация кислорода и углекислого газа – в процентах по объему, остальных газов – в млн–1 (ppm)
Fig. 2. Change in the concentration of substances in the exhaust gases during the experiment on the thermal treatment of oily wastewater (active phases shown: on the left – during flue heating, on the right – during oily wastewater injection); oxygen and carbon dioxide concentrations are given in volume percent, other gases – in parts per million–1 (ppm)
Наибольший интерес вызывает изменение газового состава при осуществлении процесса термического обезвреживания НСВ, т. е. переход от первого этапа ко второму. Для сравнения эмиссии рассматриваемых веществ на графиках каждого опыта были выделены участки (назовем их активными) равной продолжительности на этапе прогрева газохода и этапе подачи НСВ (см. рис. 2). По каждому рассматриваемому газовому компоненту для каждого опыта выполнено графическое сравнение концентрации до и во время подачи НСВ (рис. 3). Осреднение данных по газовому составу позволило оценить влияние температуры, давления подачи и концентрации нефтепродуктов на изменение эмиссии основных компонентов выбросов при осуществлении процесса термического обезвреживания НСВ.
![]() |
|
а |
![]() |
|
б |
![]() |
|
в |
![]() |
|
г |
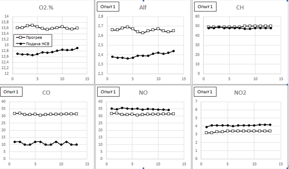
Рис. 3. Сравнение эмиссии компонентов выпускных газов на участке прогрева и во время подачи НСВ: а – опыт 1; б – опыт 2; по оси абсцисс – порядковый номер точки; по оси ординат – концентрация кислорода в процентах по объему, остальных газов – в млн–1 (ppm); в – опыт 3; г – опыт 4; по оси абсцисс – порядковый номер точки; по оси ординат – концентрация кислорода в процентах по объему, остальных газов – в млн–1 (ppm)
Fig. 3. Comparison of exhaust gas component emissions during the warm-up phase and during oily wastewater injection: a – experiment 1; б – experiment 2; along the abscissa axis – the ordinal number of the point; along the ordinate axis – oxygen concentration in percent by volume, other gases – in parts per million–1 (ppm); в – experiment 3; г – experiment 4; along the abscissa axis – the ordinal number of the point; along the ordinate axis – oxygen concentration in percent by volume, other gases – in parts per million–1 (ppm)
Выполненный дисперсионный анализ позволил выделить факторы, не оказывающие статистически значимого влияния на изменения состава выпускных газов при подаче НСВ по сравнению с этапом прогрева газохода (на рис. 4 графики с незначащими факторами выделены рамкой).
Рис. 4. Влияние факторов на изменение эмиссии газовых компонентов в газоходе при подаче НСВ (выделенные рамкой графики соответствуют статистически незначащим факторам)
Fig. 4. The influence of factors on the change in the emission of gas components in the flue during the supply of oil-containing water (graphics highlighted with a frame correspond to statistically insignificant factors)
Изменение состава продуктов сгорания при подаче нефтесодержащей воды на стенде огневого обезвреживания
При подаче НСВ содержание кислорода в выходящих газах уменьшается в среднем на 0,8 %, что можно объяснить, c одной стороны, его расходом на окисление нефтепродуктов из состава НСВ, а с другой – тем, что в газоходе образуется большое количество водяного пара, которое приводит к снижению объемной доли кислорода.
Коэффициент избытка воздуха рассчитывается газоанализатором АГМ-510МВ по известной [5, 6] формуле
(1)
где
– содержание азота, %; RO2 – суммарное содержание углекислого и сернистого газов, % (в нашем случае сернистый газ не зарегистрирован); O2, CO – содержание кислорода и угарного газа, %.
Согласно формуле (1) снижение концентрации кислорода приводит к снижению коэффициента избытка воздуха во всех опытах. Следует также отметить, что на снижение доли кислорода решающее влияние оказывает концентрация нефтепродукта в НСВ при полном отсутствии влияния температуры (см. рис. 4).
Температура, в свою очередь, оказывает существенное влияние на величину снижения концентрации монооксида углерода СО. Причиной снижения выброса CO от горелки может быть реакция вида [7]:
,
равновесное состояние которой при температуре 400 °С смещено вправо. При подаче НСВ в газоходе образуется водяной пар, катализатором реакции выступает оксид железа Fe2O3 на внутренней поверхности газохода, температурные условия в газоходе на участке между термопарами T02–T03 (570–220 °С) являются максимально благоприятными для осуществления реакции, причем с ростом температуры T02 до точки подачи НСВ концентрация CO снижается на большую величину (снижение на 7 ppm при T02 = 470 °C, на 17 ppm при T02 = 570 °C). При исходной температуре T02 = 470 °C (опыты 1 и 3) с подачей НСВ происходит снижение температуры на величину DT03 = –110 °C, а при исходной температуре T02 = 570 °C (опыты 2 и 4) температура снижается на DT03 = –84 °C. То есть в опытах 1 и 3 с подачей НСВ температура в зоне реакции выходит из благоприятного диапазона, а в опытах 2 и 4 – нет.
Во всех опытах наблюдается увеличение концентрации оксидов азота NOx. При этом концентрация диоксида NO2 составляет 3–5 ppm, что сопоставимо с нижним пределом чувствительности датчика газоанализатора и погрешностью прибора. Поэтому сосредоточим основное внимание на анализе изменения концентрации монооксида NO. Известны [8, 9] три механизма образования NO в энергетических установках: механизм Зельдовича, механизм Фенимора и топливный механизм. Интенсивное образование NO по механизму Зельдовича требует температуру в зоне реакции > 1 500 °C, что достигается в самой горелке (исходная концентрация NO), но не достигается в области подачи НСВ. Поэтому образование NO по механизму Зельдовича при подаче НСВ в газоход следует исключить. Также следует исключить и топливный механизм, т. к. содержание азота в жидком углеводородном топливе, и тем более в его смеси с водой, близко к нулю. Механизм Фенимора не требует высоких температур, он запускается реакцией радикала CH, который присутствует в зоне разложения углеводородных топлив, с молекулярным азотом. Эта реакция протекает с небольшой энергией активации, она возможна при относительно невысоких температурах, и с повышением начальной температуры Tвых, содержания нефтепродуктов в НСВ и общего количества НСВ, выражаемого через давление впрыска, наблюдается рост концентрации NO. И хотя относительное увеличение может показаться весьма большим (до 19 %), в абсолютных величинах концентрация NO возрастает всего на 4–8 ppm, что приемлемо для современных судовых дизельных установок, эмиссия NO которых имеет величину порядка 400–800 ppm.
Изменение эмиссии углеводородов CH (в приведении к пропану) при подаче НСВ носит разнонаправленный характер: в одном опыте наблюдался рост эмиссии (+14 ppm), еще в одном – снижение (–8 ppm), а в двух опытах изменение не зафиксировано. Температура Tвых не имеет значимого влияния на изменение эмиссии углеводородов CH, а концентрация нефтепродуктов в НСВ СНСВ и давление в трубопроводе подачи НСВ pвпр оказывают примерно равное и однонаправленное влияние. При увеличении содержания нефтепродуктов СНСВ в НСВ и увеличении давления pвпр наблюдается снижение эмиссии СН, что можно объяснить увеличением количества молекул различных углеводородов, подаваемых в зону реакции при достаточном избытке воздуха. С увеличением количества молекул углеводородов увеличивается и количество свободных радикалов, что способствует улучшению процесса их окисления.
Заключение
На данном этапе исследований установлены закономерности изменения состава выпускных газов при подаче НСВ в газоход, моделирующий трубопровод газовыпускной системы судового дизеля. Содержание кислорода в газоходе снижается во всех опытах. Вместе с этим снижается коэффициент избытка воздуха. Также зафиксировано значительное снижение содержания монооксида углерода CO. Содержание монооксида азота NO повышается, но величина этого повышения значительно меньше абсолютных величин эмиссии NO в отработавших газах судовых дизелей. Содержание углеводородов CH в некоторых опытах увеличивалось, а в некоторых снижалось, при этом изменение концентрации на превышало 15 ppm.
Влияние варьируемых факторов на изменения состава выпускных газов при подаче НСВ в газоход можно охарактеризовать следующим образом:
1. При увеличении концентрации нефтепродуктов CНСВ в НСВ содержание кислорода снижается на меньшую величину, также меньше снижается концентрация монооксида углерода CO. При этом на меньшую величину растет концентрация монооксида азота NO. Увеличение концентрации нефтепродуктов CНСВ приводит к переходу от роста к снижению содержания углеводородов CH в выпускных газах.
2. Увеличение температуры в газоходе Tвых не оказывает статистически значимого влияние на изменение содержания кислорода, монооксида азота NO и углеводородов, но приводит к большему снижению содержания монооксида углерода.
3. Увеличение давления подачи НСВ – pвпр, т. е. фактически увеличение количества НСВ, подаваемой в газоход, приводит к незначительному уменьшению снижения содержания кислорода, не влияет на изменение содержания монооксида углерода CO, приводит к уменьшению роста содержания монооксида азота NO, а также к переходу от роста к снижению содержания углеводородов CH.
Согласно результатам эксперимента поставлены задачи определения области рекомендуемых режимов работы устройства термического обезвреживания НСВ в составе судовой дизельной установки.
1. Чичурин А. Г., Шураев О. П. Утилизация нефтесодержащих вод теплотой отработавших газов судовых дизелей // Вестн. Волж. гос. акад. вод. трансп. 2016. № 47. С. 201–206.
2. Чернов В. А., Бевза Д. И., Шураев О. П., Чичурин А. Г. Методы очистки нефтесодержащих вод // Вестн. Астрахан. гос. техн. ун-та. Сер.: Морская техника и технология. 2022. № 3. С. 50–59. https://doi.org/10.24143/2073-1574-2022-3-50-59.
3. Чернов В. А., Шураев О. П., Чичурин А. Г. Стенд для исследования термического обезвреживания нефтесодержащих вод // Науч. проблемы вод. трансп. 2022. № 73. С. 79–87. DOIhttps://doi.org/10.37890/jwt.vi73.314.
4. Чернов В. А., Шураев О. П., Чичурин А. Г., Гуро-Фролова Ю. Р. Доводочные испытания стенда термического обезвреживания судовых нефтесодержащих вод // Науч. проблемы вод. трансп. 2024. № 80. С. 77–88. DOIhttps://doi.org/10.37890/jwt.vi80.513.
5. Енин В. И., Денисенко Н. И., Костылев И. И. Судовые котельные установки. М.: Транспорт, 1993. 216 с.
6. Хряпченков А. С. Судовые вспомогательные и утилизационные котлы. Л.: Судостроение, 1988. 296 с.
7. Коровин Н. В. Общая химия. М.: Высш. шк., 1998. 559 с.
8. Марков В. А., Баширов Р. М., Габитов И. И. Токсичность отработавших газов дизелей. М.: Изд-во МГТУ им. Н. Э. Баумана, 2002. 376 с.
9. Горбунов В. В., Патрахальцев Н. Н. Токсичность двигателей внутреннего сгорания. М.: Изд-во РУДН, 1998. 214 с.







