Россия
Россия
Проведен анализ переходных режимов работы систем охлаждения микропроцессоров, используемых в бортовых судовых системах, таких как навигационные комплексы (ECDIS), радиолокационное оборудование и системы связи. Актуальность исследования обусловлена растущими требованиями к производительности и надежности микропроцессоров в условиях морской эксплуатации, где агрессивная среда (высокая влажность, солевые аэрозоли, вибрации) усугубляет проблемы теплоотвода. Экспериментально изучена инерционность жидкостной системы охлаждения на базе холодильной машины при резком переходе микропроцессора Intel Core i7-13700K в стресс-режим. Показано, что время отклика системы охлаждения (50–90 с) существенно отстает от скорости изменения тепловыделения процессора, что критично для морских систем, где перегрев может привести к сбоям в навигации или связи. Предложены методы оптимизации: использование бустинг-схемы с активацией дополнительной мощности охлаждения, интеграция аккумуляторов холода и синхронизация работы процессора с холодильной установкой. Результаты моделирования демонстрируют зависимость энергоэффективности PUE (Power Usage Efficiency) от расхода теплоносителя и температуры окружающей среды. Выявлено, что системы с микроканальными теплообменниками и миникомпрессорами обеспечивают холодопроизводительность до 250 Вт, что соответствует требованиям морских стандартов (IEC 60945, MIL-STD-810G). Подчеркивается необходимость разработки адаптивных систем охлаждения, минимизирующих инерционность и устойчивых к экстремальным условиям моря. Полученные результаты имеют теоретическое и практическое значение для проектирования судовых бортовых вычислительных комплексов, где надежность и энергоэффективность напрямую влияют на безопасность и надежность навигации и связи в длительных рейсах.
холодильная машина, система охлаждения, микропроцессор бортовой системы, переходный режим работы, схема поддержания параметров
Введение
Современные судовые навигационные и коммуникационные системы требуют высокой вычислительной мощности микропроцессоров, что сопровождается значительным тепловыделением. В условиях морской эксплуатации, где оборудование подвергается воздействию вибраций, соленой среды и ограниченного пространства, традиционное воздушное охлаждение становится недостаточным. Особую сложность представляют переходные режимы, когда процессор быстро переходит из состояния покоя в режим максимальной нагрузки, например при обработке данных гидролокатора или обновлении карт в штормовых условиях. Несоответствие между скоростью изменения тепловыделения процессора и инерционностью системы охлаждения может привести к перегреву, снижению надежности и даже выходу оборудования из строя. Данное исследование фокусируется на решении этих проблем через анализ жидкостных систем охлаждения, соответствующих морским стандартам (IEC 60945), и разработку методов синхронизации их работы с динамикой микропроцессоров.
Исследования [1–3] свидетельствуют о том, что введение алгоритмов программной фильтрации приводит к увеличению инерционности процесса измерения частоты, т. к. на получение первого сглаженного измерения с заданной точностью требуется конечное время, которое увеличивается экспоненциально с повышением точности. В частности, это приводит к неравномерности загрузки вычислительной мощности процессора и тепловыделения.
Рассеиваемая мощность ограничивает производительность микропроцессора. Запас мощности для микропроцессора становится конструктивным ограничением, аналогичным площади матрицы и тактовой частоте. Рабочее напряжение продолжает уменьшаться с каждым новым поколением процессоров, но с меньшей скоростью, которая не успевает за увеличением тактовой частоты и количеством транзисторов [4].
Вышеобозначенные факторы приводят к тому, что скорость изменения режима работы микропроцессора сильно отличается от скорости изменения режимов работы системы охлаждения, которая, имея высокую инерционность, не успевает за быстрыми колебаниями режимов работы микроэлектроники. Конструкция системы также влияет на показатели быстродействия и скорости выравнивания температурных параметров системы охлаждения. В [5–9] приведены качественные данные сравнения различных систем охлаждения для полупроводниковых элементов микроэлектроники. Обобщенные данные подтверждают, что наиболее эффективными являются системы термоэлектрического и жидкостного охлаждения за счет высокой мощности отведения теплоты при малых размерах. Отчасти к преимуществам жидкостных систем можно отнести высокую теплоемкость теплоносителя, что также позволяет реагировать на быструю смену режимов работы микроэлектроники за счет гашения малых тепловых колебаний.
Особый интерес представляют переходные режимы, в которых микропроцессор выходит с незагруженного состояния до состояния максимальной производительности, т. е. происходит разгон до 100 % производительности [10–12]. Особенно это важно для комплексов транспортных систем. Помимо требований, выдвигаемых морским стандартом, таким как IEC 60945 или MIL-STD, возникают проблемы, связанные с теплоотведением и защитой от окружающей агрессивной среды моря. В связи с этим воздушное охлаждение уже не справляется с возложенными задачами, прежде всего из-за высокого тепловыделения передовых процессоров, а также из-за наличия в воздухе пыли и ионов солей, негативно влияющих на работоспособность. Поэтому одним из ключевых решений последних лет стало применение жидкостных систем охлаждения, в том числе и на водном транспорте. Жидкостное охлаждение лучше, чем воздушное, и во многих аспектах лучше, чем термоэлектрическое [13–16], справляется с отводом тепла, что критично для мощных процессоров (например, Intel Xeon или Core i7/i9) в системах навигации, автоматизации или обработки данных. Перспективным направлением повышения эффективности также стала возможность применения аккумуляторов холода [17] и альтернативных теплоносителей [18]. Однако вопрос колебаний мощности при работе и быстрая смена режимов работы микропроцессора, а также инерционности системы охлаждения теперь стоит более остро.
В данной работе исследовался режим выхода микропроцессора и системы охлаждения микропроцессора навигационного комплекса на максимальную производительность с целью исследования инерционности системы в целом и отставания скорости срабатывания системы охлаждения от скорости изменения параметров микропроцессора.
Новизна работы заключается в построении зависимостей при синхронизации работы микропроцессора и его системы охлаждения при быстром изменении рабочих параметров и возрастании производительности электронных компонентов навигационного и радиооборудования морских судов.
Материалы и методы исследования
Для проведения исследования выбран микропроцессор Intel Core i7 13700K OEM, который вводился в стресс-режим с помощью программного обеспечения AIDA64, контроль параметров микропроцессора осуществлялся также с помощью AIDA64.
Данный процессор является одним из передовых микропроцессоров линейки Intel Core и активно применяется в вычислительных комплексах бортовых систем судов и летательных аппаратов, в частности в навигационных комплексах, требующих высокой производительности и надежности (например, в ECDIS и VTS).
Данный процессор имеет 16 ядер (8 P-ядер + 8 E-ядер) и частоту до 5,2 ГГц, справляется с многопоточной нагрузкой, например одновременной обработкой данных радара, картографии и связи, однако имеет очень высокое тепловыделение и быстроту смены режимов работы, что обусловлено высокой тактовой частотой. Максимальное тепловыделение – до 210 Вт в турборежиме и 135 Вт в режиме номинальной нагрузки.
В качестве системы охлаждения была применена жидкостная система охлаждения, заполненная дистиллированной водой, со встроенной микрохолодильной установкой на базе холодильного компрессора ST19DC12H и микроканальных теплообменников. Для измерения температуры использовались термопары медь-константановые (ТМКн) и микровольтметр B7-78/1, расход охлаждающей среды контролировался с помощью ротаметра ZYIA LZM-15Z, изменение производительности насоса осуществлялось с помощью байпасирования.
Для проведения экспериментов был разработан стенд (рис. 1).
Рис. 1. Схема системы охлаждения холодильной машины с включением в систему охлаждения:
1 – компрессор; 2 – конденсатор; 3 – капиллярная трубка; 4 – испаритель; 5 – теплообменник водоблока;
6 – теплообменник с электронагревателем; 7 – регулирующий вентиль; 8 – ресивер; 9 – ротаметр;
10 – насос (помпа); 11 – линия байпасирования
Fig. 1. Diagram of the cooling system of a refrigerating machine with the inclusion in the cooling system:
1 – compressor; 2 – condenser; 3 – capillary tube; 4 – evaporator; 5 – water block heat exchanger;
6 – heat exchanger with electric heater; 7 – control valve; 8 – receiver; 9 – rotameter; 10 – pump; 11 – bypass line
Система охлаждения и микропроцессор контактировали между собой через теплообменник на процессоре, в качестве которого был выбран микроканальный теплообменник с шириной канала 100 мкм (рис. 2) для высокоэффективного отведения тепла.
а б
Рис. 2. Микроканальный теплообменник: а – расположение ребер на теплопередающей поверхности;
б – оребренная поверхность под микроскопом
Fig. 2. Microchannel heat exchanger: a – arrangement of fins on the heat transfer surface;
б – finned surface under a microscope
Рассматриваемые теплообменники применяются в жидкостной системе охлаждения Thermaltake Floe RC 240 Memory & CPU AIO Liquid Cooler.
Измерение температуры электронных компонентов внутри корпуса осуществлялось с помощью тепловизора testo 875-2i.
Эксперимент проводился следующим образом: при переводе в стресс-режим микропроцессора запускалась холодильная машина и фиксировались температуры компонентов микропроцесса и теплоносителя в системе охлаждения. Помимо температуры процессора, фиксировались температуры на материнской плате и вспомогательных электронных устройствах, что позволило получить полную картину распределения температур в электронном устройстве в переходном режиме работы. Также фиксировалась мощность процессора и холодильной установки. Полученные данные сравнивались с экспериментом, в котором система охлаждения работала в режиме при максимальной мощности в момент запуска стресс-режима процессора. На основании проведенных опытов были получены экспериментальные данные.
Экспериментальные данные
При переходе в стресс-режим микропроцессор быстро повышает свою температуру, которая со временем снижается и стабилизируется, как только тепловыделение процессора сравняется с мощностью системы охлаждения. В жидкостных системах охлаждения параметры, определяющие температуру стабилизации, – это расход и температура теплоносителя. Чем ниже начальная температура теплоносителя и выше его расход, тем более низкая температура стабилизации. Если же система охлаждения построена по бустинг-схеме, т. е. включается в момент перехода процессора на максимальную производительность, то стабилизация происходит по сложной закономерности, включающей совмещение инерционности микропроцессора и охлаждающего устройства, например холодильной машины. Если система охлаждения работает по обычной схеме, т. е. ее мощность постоянна, то стабилизация температуры при переходном режиме работы представляет собой быстрый выход процессора на максимальную температуру и падение этой температуры до стационарного режима по зависимости, близкой к квадратичной (рис. 3, а). В случае же работы по бустинг-схеме влияние инерционности системы охлаждения и процессора приводит к более сложному поведению и усложнению описания процесса (рис. 3, б).
Мощность процессора при переходе в стресс-режим при работе системы охлаждения с постоянной мощностью и с переменной (бустинг-схема) изменялась по сходным закономерностям (рис. 4).
Рис. 3. Изменение температуры процессора при переходе в стресс-режим работы:
а – постоянная мощность системы охлаждения; б – бустинг-схема
Fig. 3. Processor temperature change during transition to stress mode of operation:
a – constant cooling system power; б – boosting circuit

Рис. 4. Изменение мощности процессора при переходе в стресс-режим работы:
а – постоянная мощность системы охлаждения; б – бустинг-схема
Fig. 4. Processor power change during transition to stress mode: a – constant cooling system power; б – boosting circuit
Таким образом, на стабилизацию температурного режима работы микропроцессора в главной степени влияет инерционность системы охлаждения. Детальное исследование изменения температуры теплоносителя в ходе процесса выхода на режим работы холодильной машины системы охлаждения, определяющей инерционность всей системы охлаждения, приведено на рис. 5.
Рис. 5. Изменение температуры теплоносителя на выходе из холодильной машины
при переходе процессора в стресс-режимы работы
Fig. 5. Change in the temperature of the coolant at the outlet of the refrigerating machine when
the processor switches to stress modes of operation
Среднее время отклика на запуске дополнительной мощности системы охлаждения – 50–90 с, что является медленным для процессоров с высоким тепловыделением, т. к. холодильная машина может не успеть выйти на режим для стабилизации температуры. Большая инерционность влияет на изменение температуры процессора при переводе его в стресс-режим работы. Однако использование мощных охладителей необходимо в связи с растущей мощностью процессоров, что заставляет искать пути оптимизации и синхронизации работы системы охлаждения и компонентов микропроцессора.
Распределение температур внутри корпуса при высокой температуре окружающего воздуха и переходе микропроцессора в стресс-режим показано на рис. 6. Для контроля температуры теплоносителя и его влияния на температуру процессора в контур охлаждения также введен нагреватель. Точки измерения температуры на рис. 6 представлены в таблице (температура процессора составляла 55 °С).
а б
Рис. 6. Распределение температуры внутри корпуса компьютера и процессорной платы:
а – картинка с тепловизора; б – фото компьютера, подключенного к стенду
Fig. 6. Temperature distribution inside the computer case and processor board: a – picture from the thermal sensor;
б – photo of the computer connected to the stand
Точки измерения температуры в контуре охлаждения
Temperature measuring points in the cooling circuit
|
Точка измерения |
Температура, °С |
Место измерения |
|
М1 |
23,8 |
Подача теплоносителя на процессор |
|
М2 |
44,9 |
Материнская плата |
|
М3 |
23,7 |
Теплоноситель после охладителя |
|
М4 |
49,5 |
Нагреватель (изолированный) |
|
М5 |
21,5 |
Ресивер |
|
М6 |
25,0 |
Теплоноситель на выходе из процессора |
|
М7 |
31,3 |
Стенка корпуса |
|
М8 |
29,2 |
Окружающая среда |
Моделирование переходного режима
Весь процесс переходного режима работы системы охлаждения и процессора можно условно разделить на два этапа: 1) быстрый рост температуры и мощности с последующим быстрым снижением и стабилизацией температуры и мощности; 2) медленный выход на стационарные параметры и работа в установившемся режиме.
Для экспериментального образца зависимости изменения температуры теплоносителя T от времени t разбиваются на кубическую зависимость при быстрой стабилизации и квадратичную при выходе на установившийся режим:
где tб.с – время конца этапа быстрой стабилизации.
В общем случае изменение температуры процессора Tпроц при переходном режиме основывается на скорости изменения температуры теплоносителя, установившегося расхода теплоносителя и мощности охладителя с учетом первоначальной температуры процессора:
где Тпроц. нач – начальная температура процессора, °С; ТW – охлаждение теплоносителя в испарителе, °С; ТV – температура теплоносителя при быстрой стабилизации режима работы, °С.
В общем случае функция изменения температуры процессора от показанных параметров имеет сложный вид, который с вводом допущений (работа процессора отсчитывается от начала переходного режима, расход и начальная температуры постоянны, мощность изменяется линейно) может быть представлен в общем виде:
где Ei – интегральный показатель функции времени, представленный в виде:
где γ – постоянная Эйлера – Маскерони.
Для оптимальной работы электронных компонентов в составе микропроцессора при переходном режиме работы важно сокращать время быстрой стабилизации и переходного режима в целом. Существует несколько способов для достижения этого. Первый способ – поддерживать температуру процессора изначально на низком уровне, для чего охладитель должен работать постоянно на уровне 30–50 % максимальной мощности, и при повышении производительности микропроцессора быстро перейти в максимальную мощность. Это несет плюсы в виде сокращения времени быстрой стабилизации, что позволяет защитить микроэлектронные компоненты от перегрева и тепловой деградации. Однако такой подход имеет и минусы, прежде всего в повышении энергопотребления на систему охлаждения, что снижает энергоэффективность системы в целом. Вторым способом является применение в системе охлаждения устройств, накапливающих холод и поддерживающих температуру теплоносителя на низком температурном уровне с накоплением избыточной мощности охладителя в виде льда или иной среды, способной накапливать холод и передавать холод обратно в систему при резком повышении производительности процессора.
Оптимизация работы системы охлаждения
С учетом полученных данных переходного режима проведена оптимизация пиковой мощности системы охлаждения N, исходя из зависимости потребляемой мощности насоса, которая зависит от расхода охлаждающей жидкости V и сопротивления жидкостного контура:
ΔP = 26,623V2 + 10,201V – 0,018,
и мощности компрессора, которая зависит от температур кипения, конденсации, рабочей температуры процессора Тпроц (влияет на температуру охлаждающей жидкости в контуре) и температуры окружающей среды Tнар:
где ηнас – КПД насоса.
Повышение гидросопротивлений в теплообменных аппаратах приводит к увеличению необходимой мощности насоса для обеспечения потребного расхода теплоносителя. Из-за высокой степени оребрения и применения микроканальных теплообменников их сопротивление высоко, и вопросы интенсификации теплообмена и применения более мощных насосов требуют решения задачи оптимизации с точки зрения сохранения энергоэффективности системы охлаждения. Повышение сопротивления системы приводит к возрастанию потребной мощности насоса:
где ∆Pсист – общие потери напора в системе, Па; ∆Pисп – потеря напора теплоносителя в испарителе холодильной машины, Па; ∆Pтруб – потеря напора теплоносителя в трубопроводе, Па; ∆Pт.о – потеря напора в жидкостном теплообменнике, Па; ∆Pрад – потеря напора в воздушном теплообменнике, Па; Kп.м – коэффициент, учитывающий повышение мощности для регулировки производительности системы охлаждения.
Общую мощность системы и энергоэффективность можно также оценить с помощью рейтинга энергоэффективности PUE:
где NΣ – суммарная потребляемая мощность всей вычислительный системы, включающая Nпотреб – потребление мощности системой охлаждения с учетом изменения мощности процессора, Вт; Nнас – потребляемая мощность насоса; Nком – потребляемая мощность компрессора, Вт; Nвент – потребляемая мощность вентиляторов конденсатора, Вт.
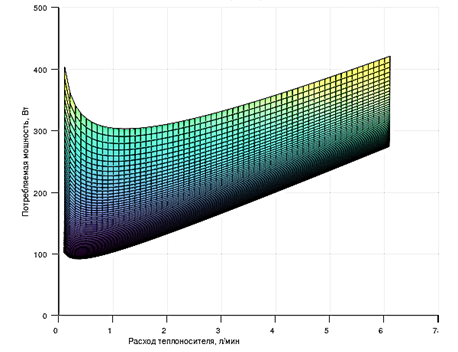
Решение задачи оптимизации энергопотребления в зависимости от PUE для различных температур наружного воздуха представлено на рис. 7. Решение задачи оптимизации энергопотребления при различных температурах наружного воздуха – на рис. 8.
Рис. 7. Оптимум PUE от температуры процессора и расхода теплоносителя
Fig. 7. Optimum PUE on processor temperature and coolant flow
а б
Рис. 8. Зависимость потребляемой мощности системы охлаждения:
а – от основных факторов системы; б – вид оптимума с плоскости расхода
Fig. 8. Dependence of the cooling system power consumption: а – from the main factors of the system;
б – view of the optimum from the flow plane
Согласно графикам потребляемая мощность системы охлаждения снижается с увеличением рабочей температуры процессора и расхода охлаждающей жидкости, это обусловлено снижением требуемой мощности насоса и компрессора холодильной машины.
В результате моделирования и анализа было выявлено, что в рассматриваемой системе охлаждения наибольшее влияние на температуру процессора в переходном и пиковом режиме оказывают температура и расход охлаждающей жидкости, также влияние на потребляемую мощность оказывают температура окружающей среды и мощность процессора.
В отношении системы охлаждения процессора необходимо сделать поправку, что использование холодильной машины имеет весьма высокие перспективы, т. к. даже при небольших габаритах она имеет весьма высокую холодопроизводительность по сравнению со стандартными жидкостными системами охлаждения и термоэлектрическими модулями. Это достигается за счет высокой производительности компрессора на высоких оборотах. Таким образом, при тепловом потоке от процессора около 200 Вт показанная в данной работе холодильная установка имеет холодопроизводительность более 200–250 Вт при температуре кипения около +10 °C, что позволяет рекомендовать системы жидкостного охлаждения со встроенными холодильными машинами для высокопроизводительных компьютеров и рабочих станций. С увеличением мощности и габаритов холодильной машины их эффективность только возрастает, в отличие, например, от установок на основе термоэлектрических модулей.
Заключение
Исследование переходных процессов при разгоне или выходе микропроцессора на режим максимальной производительности является важной задачей для проектирования и эксплуатации вычислительных комплексов, устройств связи и прочих систем, содержащих высокочастотные микропроцессоры. Результаты опытов свидетельствуют о том, что при быстром выходе микропроцессора на режим максимальной производительности его температура быстро повышается и скорость стабилизации этой температуры зависит от инерционности системы охлаждения, которая должна стабилизировать и снижать рабочую температуру микроэлектронных компонентов до уровня безопасной эксплуатации. Весь процесс охлаждения в переходном режиме можно условно разделить на два этапа – быстрой стабилизации и медленного выхода на стационарные параметры. Первый этап является наиболее важным и зависит от ряда параметров, прежде всего таких, как температура и расход теплоносителя, а также скорость изменения мощности охладителя (холодильной машины) в составе системы охлаждения. При бустинг-схеме при выходе процессора на максимальную производительность неизменно следует более высокий скачок температуры, что связано с медленной скоростью срабатывания охладителя, необходимо учитывать данные факторы при проектировании электронных систем.
Полученные экспериментальные данные демонстрируют сложность происходящих процессов во время синхронизации работы и выравнивания передаваемой теплоты между процессором и системой охлаждения. Однако эти процессы могут быть аппроксимированы простыми функциями, близкими к экспоненциальным.
Сравнение двух возможных режимов работы системы охлаждения – при постоянной мощности охлаждения и при подключении дополнительной мощности охлаждения при разгоне процессора – свидетельствует о том, что каждая из них обладает своими плюсами и минусами, однако с точки зрения поддержания температуры процессора в безо-пасном интервале и защиты его от перегрева первая схема более эффективна, но проигрывает в энергоэффективности второй схеме.
Возможность дополнительного повышения эффективности системы заключается в установке дополнительного оборудования, например аккумуляторов холода. Разработаны технологии, как для малых систем. Также возможна синхронизация инерционности процессора и системы охлаждения через искусственное повышение инерционности выхода на режим работы процессора, что приводит к снижению его быстродействия.
Проведенное исследование подтвердило, что инерционность систем охлаждения является ключевым фактором, ограничивающим эффективность микропроцессоров в судовых условиях. Для морских применений критично использование жидкостных систем с холодильными машинами, обеспечивающими быстрое гашение тепловых пиков и устойчивость к коррозии. Полученные результаты имеют практическое значение для проектирования судовых вычислительных комплексов, где надежность и энергоэффективность напрямую влияют на безопасность навигации и связи в длительных рейсах. Дальнейшие исследования должны быть направлены на миниатюризацию холодильных установок и интеграцию адаптивных алгоритмов управления, учитывающих специфику морской эксплуатации.
1. Пьявченко Т. А. Программная фильтрация низкочастотных помех и ее влияние на точность и инерционность процесса измерений // Изв. Юж. федерал. ун-та. Технические науки. 2002. Т. 25. № 2. С. 140–143.
2. Алтай Е. А., Кремлев А. С., Зименко К. А. Оценка взаимосвязи низкочастотных помех при многоканальной регистрации электрокардиосигнала // Изв. высш. учеб. заведений. Приборостроение. 2020. Т. 63. № 7. С. 626–633.
3. Бухалев В. А., Болдинов В. А. Фильтрация сигналов при низкочастотных помехах в измерительно-информационных системах беспилотных летательных аппаратов // Тр. МАИ. 2017. № 97. С. 12.
4. Лиманова Н. И., Ковтун Д. С. Тенденции в разработке микропроцессоров // Бюл. науки и практики. 2022. Т. 8. № 7. С. 397–401.
5. Зенин В. В., Новокрещенова Е. П., Мухин К. А., Шарапов Ю. В. Охлаждение изделий микроэлектроники // Вестн. Воронеж. гос. техн. ун-та. 2011. Т. 7. № 12-1. С. 127–131.
6. Одинцов И. О., Гаряев А. Б., Огородова Д. В. Теплообмен в канале между пластинами отопительного конвектора // Состояние и перспективы развития электро- и теплотехнологии (ХХII Бенардосовские чтения): материалы Междунар. науч.-техн. конф., посвящ. 75-летию теплоэнергет. фак. (Иваново, 31 мая – 02 июня 2023 г.). Иваново: Изд-во ИГЭУ им. В. И. Ленина, 2023. С. 225–227.
7. Алексюнин Е. С. Современные системы активного охлаждения электронных компонентов на основе пьезоустройств // Инженер. вестн. Дона. 2013. Т. 25. № 2 (25). С. 21.
8. Стрелов В. И., Бендрышев Ю. Н., Косушкин В. Г. Высокоэффективные теплоотводы нового поколения для электронных изделий // Приклад. физика. 2016. № 5. С. 86–91.
9. Коновалов Д. А., Лазаренко И. Н., Дроздов И. Г., Шматов Д. П. Современные подходы к разработке и созданию элементов систем тепловой защиты радиоэлектронных компонентов // Вестн. Воронеж. гос. техн. ун-та. 2014. Т. 10. № 1. С. 97–104.
10. Амелькин С. А. Оптимальное распределение площади радиаторов в погружных системах охлаждения высокопроизводительных вычислительных комплексов // Программ. системы: теория и приложения. 2024. Т. 15. № 1. С. 31–40.
11. Данилов М. А. Сравнительный обзор процессоров Intel и AMD // Наука, технологии, инновации в мире глобальных трансформаций: материалы IX Междунар. науч.-практ. конф. (Ростов-на-Дону, 21 апреля 2021 г.). Ростов н/Д.: Изд-во Юж. ун-та (ИУБиП), ВВМ, 2021. С. 57–60.
12. Минибаев В. Р., Игнащенко А. В. Сравнение актуальных линеек процессоров // Фундамент. и приклад. исслед. в соврем. мире. 2021. № 29-1. С. 6–10.
13. Андреев А. И., Семенов А. Е. Системы охлаждения микроэлектроники и полевая автоматика // Новейшие технологии освоения месторождений углеводородного сырья и обеспечение безопасности экосистем Каспийского шельфа: материалы XIII Междунар. науч.-практ. конф. (Астрахань, 12–13 октября 2022 г.). Астрахань: Изд-во АГТУ, 2022. С. 362–366.
14. Евдулов Д. В., Асланов К. С. Перспективы использования термоэлектрических модулей в системах для охлаждения компьютера // Состояние и перспективы развития термоэлектрического приборостроения: материалы VIII Всерос. науч.-практ. конф. (Махачкала, 08–09 декабря 2022 г.). Махачкала: Формат, 2023. С. 51–53.
15. Страшко Е. И., Шамаров М. В., Жлобо Р. А. Методика охлаждения центрального процессора // Вестн. Дагестан. гос. техн. ун-та. Технические науки. 2024. Т. 51. № 1. С. 22–30.
16. Мажитов О. Д., Джунусова А. Б., Жуматаева Ж. Е. Использование элементов Пельтье для охлаждения современных компьютеров // Приоритетные направления развития образования и науки: материалы Междунар. науч.-практ. конф. (Чебоксары, 09 апреля 2017 г.). Чебоксары: Центр науч. сотрудничества «Интерактив плюс», 2017. С. 71–73.
17. Семенов А. Е., Андреев А. И. Оптимизации режимов работы судовой холодильной установки с аккумулятором искусственного холода // Вестн. Астрахан. гос. техн. ун-та. Сер.: Морская техника и технология. 2023. № 3. С. 65–73. https://doi.org/10.24143/2073-1574-2023-3-65-73.
18. Юницкий А. Э., Гаранин В. Н., Янчук В. В. Обоснование возможности использования водорода в качестве хладагента в гиперскоростных транспортных средствах // Безракетная индустриализация ближнего космоса: проблемы, идеи, проекты: материалы V Междунар. науч.-техн. конф. (Марьина Горка, 23–24 сентября 2022 г.). Минск: Астроинженер. технологии, 2023. С. 35–39.



