Россия
Россия
Россия
Анализ характера формирования асфальтосмолопарафиновых отложений (АСПО) показал, что комплекс физико-химических явлений на внутренних поверхностях оборудования для нефтяного промысла и перевозки нефтяного сырья, обусловливает образование и накапливание твердых веществ органической природы. В современных условиях широко используемыми способами предотвращения и устранения данных отложений в нефтяных магистралях служат химические операции промывания. Растворители углеводородной природы не позволяют снять проблему отведения нерастворимых отложений неорганического происхождения, которое можно сделать возможным лишь путем гидродинамического воздействия, обусловленного интенсивностью движения потока растворителя, степень которой при ее перекачке обеспечивают посредством насосных установок подпорного и магистрального оборудования. В статье рассмотрены методы оперативного определения критической интенсивности движения растворителя, когда осуществляется отведение нерастворимых частиц отложений. В данном варианте режимные параметры лимитируются только рабочим давлением в нефтепроводах, и определения рациональных параметров можно осуществить, решая задачу поддержания критической интенсивности движения при наименьшей энергоемкости, которую обоснованно априорно оценить. Проведен оценочный расчет минимальной скорости циркуляции моющей среды для удаления частиц заданного размера в трубопроводе определенного диаметра. Подтверждена справедливость полученной модели при условии, что размер частиц не превышает толщину пограничного слоя. Сделан вывод о том, что предложенный метод оперативного расчета критической скорости потока позволит оптимизировать режимы промывки, ограничивая рабочее давление в трубопроводах и минимизируя энергопотребление при обеспечении необходимой эффективности удаления АСПО. Отмечена неприменимость графического метода для случаев, когда размер частиц значительно превышает толщину пограничного слоя, ввиду диспергирования АСПО в турбулентном потоке.
нефть, добыча, перекачка, оборудование, асфальтосмолопарафиновые отложения, химические способы промывки, растворитель, критическая интенсивность движения
Введение
Варьируемая динамика востребованности и ориентиров поставок энергоносителей на мировом рынке обусловливает выбор новых подходов к перевозке нефтегазового сырья (НГС), опираясь на низкозатратные и гибкие варианты варьирования направлений и объемов его перекачивания по отечественным и экспортным маршрутам. При этом, даже с учетом экономически более выгодного экспорта углеводородного сырья, его отечественные поставки становятся все более приоритетными, что является результатом целого ряда федеральных программ и проектов, ориентированных на расширение ареала переработки НГС и газификации удаленных регионов РФ, в частности, Восточной Сибири, Дальнего Востока и Арктики [1–3].
К перспективным путям достижения поставленной цели, опираясь на накопленный мировой опыт, следует причислить универсализацию магистральных трубопроводов для перекачивания нефти, газа, а также продуктов из НГС и нетрадиционных материалов [4, 5]. Трубопроводы в России обладают широко развитой сетевой системой, причем направления многих газо-, нефтепродуктопроводов преимущественно совпадают или противоположно ориентированы [4, 6].
В процессе использования магистральной сети на внутренних поверхностях трубопроводов постепенно накапливаются отложения органической природы, такие как парафины, смолы и асфальтены. Именно они обусловливают сокращение эффективного диаметра линейных трубопроводных участков по причине утолщения пристенных прослоек, что определяет снижение энергоэффективности перекачивания НГС и данных внутритрубной диагностики. Асфальтосмолопарафиновые отложения (АСПО) являются твердым углеводородным комплексом, включающем асфальтосмолистые (20–40 % масс.) и парафиновые (20–70 % масс.) субстанции. АСПО накапливаются во всей нефтепромысловой сети: в системе сбора и подготовки нефтяного сырья (НС), в трубопроводах для трансфера готовых материалов до товарных емкостей [2–4, 6].
В современных условиях широко используемыми способами предотвращения и устранения данных отложений в нефтяных магистралях являются химические операции промывания. Следует обратить внимание на тот факт, что растворители углеводородной природы не позволяют решить проблему отведения нерастворимых отложений неорганического происхождения, которое можно сделать возможным лишь путем гидродинамического воздействия, обусловленного интенсивностью движения потока растворителя, степень которой при ее перекачке обеспечивают посредством насосных установок подпорного и магистрального оборудования.
В статье рассматриваются методы оперативного определения критической интенсивности движения растворителя, когда осуществляется отведение нерастворимых частиц отложений. В данном варианте режимные параметры лимитируются только рабочим давлением в нефтепроводах, и определить рациональные параметры можно, решив задачу поддержания критической интенсивности движения при наименьшей энергоемкости, которую обоснованно априорно оценить [7–11].
Результаты и обсуждение
Согласно опыту практического и эмпирического изучения рассматриваемой проблемы, размеры частиц АСПО находятся в пределах от 0,052 до 0,086 мм, т. е. они сопоставимы с толщиной пограничного слоя при перемещении жидкой среды в турбулентном режиме промывания нефтепроводов [7, 8, 10]. В таком варианте градиент интенсивности движения пограничного слоя существенно больше, чем в ядре потока растворителя, следовательно, влияние подъемной силы по отношению к иным усилиям, влияющим на частицу в состоянии покоя у внутренней поверхности трубопровода, становится заметным.
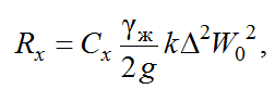
С целью отведения частицы с нижнего участка трубы с внутренним диаметром d целесообразно обеспечить критическую интенсивность движения потока Wп для преодоления лобового сопротивления и обеспечения нужной подъемной силы. На частицу с размером ∆, удельным весом твердого вещества γт на нижнем участке внутренней поверхности трубопровода, по которому осуществляется перекачивание жидкой среды с удельным весом жидкости γж, воздействуют определенные силы, представленные на рисунке.

Схема влияния потока на частицу АСПО
Diagram of the effect of the flow on the ARPD particle
Сила Rx обусловлена лобовым сопротивлением Cx при обтекании частицы:
(1)
Вес частицы в жидкой среде:
PB = k∆3(γт – γж). (2)
Подъемное усилие при обтекании частицы жидкой средой с варьируемой интенсивностью движения с градиентом dW/dy по сечению потока:
(3)
Усилие сопротивления частицы поверхности трубопровода Pтр, обусловленная весом частицы
в жидкой среде и коэффициентом сопротивления f:
Pтр = f(РВ – Ry). (4)
Стационарные условия начала равномерного перемещения частицы со дна трубопровода при идентичности сил Rx и Pтр:
(5)
При сравнении частицы в кубической форме с ребром ∆ и шарообразной формы такого же диаметра частицы d принимаем для последней k = 0,6 и параметр лобового сопротивления в пределах от 0,1 до 0,3. Тогда Cx = 0,2 и аналогично f = 0,7.
После определенной математической трансформации соотношение (5) имеет вид:
(6)
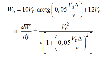
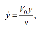
При средней Wп, когда частица перемещается, необходимо найти W0 и dW/dy, которые обусловлены Wп в данной точке. Принимая во внимание теоретические положения о пограничной прослойке при перемещении жидкой среды в турбулентном режиме жидкости, рассмотрим понятие безразмерной координаты:
(7)
где V0 – интенсивность турбулентных пульсаций, м/с; y – расстояние от стенки трубопровода, м; ν – кинематическая вязкость жидкой среды, м2/с.
Закономерность распределения W по сечению имеет вид:

Принимая во внимание, что из трубопровода потоком растворителя выводятся разногабаритные частицы, оценим зоны по сечению. С этой целью трансформируем соотношение Дарси – Вейсбаха для касательных напряжений σT:
(10)
где Wn – средняя интенсивность движения потока по трубе; λ – коэффициент гидравлического сопротивления для гладких трубопроводов (
по соотношению Блазиуса, где
– критерий Рейнольдса).
При этом соотношение для характерной интенсивности турбулентных пульсаций или динамической интенсивности движения (10) потока можно представить, как:
(11)
где ρж – плотность жидкой среды, кг/м3.
Решая систему соотношений (10) и (11) для
имеем соотношение для определения толщины пограничной прослойки П при 0 ≤ ∆ ≤ П:
(12)
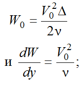
Величины W0 и dW/dy в (6) для y = ∆ / 2 найдем, принимая во внимание (7):
– при 0 ≤
≤ 5 по (8)
– при 5 ≤
≤ 30 по (9)

В результате, при условиях 0 ≤ ∆ ≤ П и 0 ≤
≤ 5 системы уравнений (6) и (11) обусловливает соотношение для
(13)
Из (13) следует, что наименьшая допустимая интенсивность промывания должна увеличиваться при вязкости увеличения растворителя, разницы удельных весов жидкой и твердой фаз, диаметра трубы и снижения габаритов частиц нерастворимых отложений.
Проведем оценку наименьшей величины W циркуляции моющей среды v = 0,02 см2/с (2 · 10–6 м2/с) и ρж = 850 кг/м3 по трубе d = 50 см (0,5 м) для отведения нерастворенных частиц при ∆ = 0,005 см (50 · 10–6 м) и ρт = 920 кг/м3 по (13): Wn = 44,4 см/с.
Осуществим проверку выполнения условия (12) по толщине пограничной прослойки: П = 0,105 см. Поскольку П = 0,105 см больше ∆ = 0,005 см, использование (13) справедливо, и, как следствие, определение критической Wn проведено адекватно.
Заключение
Оперативный расчет критической скорости потока растворителя, при которой реализуется вынос нерастворимых частиц АСПО, позволит ограничить максимальные режимы рабочих давлений технологических трубопроводов вследствие обеспечения заданной критической скорости потока растворителя при минимальном энергопотреблении. Следует отметить, что при П ≤ ∆ ≤ 6П, когда размер частицы превышает толщину пограничной прослойки, решение системы соотношений по отношению к Wn осуществить затруднительно, и по этой причине эту задачу решают графически. Такой вариант для циркуляционного промывания труб для перекачивания НС моющими средами в турбулентном режиме неприемлем в инженерной практике по причине диспергирования частиц АСПО под влиянием диффузионных процессов.
1. Минина Н. Н., Дьяконова Д. Е., Изилянов А. Ю. Экологические проблемы при добыче нефти и пути их решения // Заметки ученого. 2020. № 7. С. 103–107.
2. Жильцов С. С. Каспийский регион: новые энерге-ические потоки и новые вызовы // Каспийский регион: политика, экономика, культура. 2015. № 3 (44). С. 64–71.
3. Баранник С. Ф., Харитонова А. Р., Пурчина О. А., Ткачук И. Д. Совершенствование процесса транспортировки нефти // Материалы всерос. (нац.) науч.-практ. конф. «Актуальные проблемы науки и техники. 2022». Ростов н/Д.: 2022. С. 17–19.
4. Лемке Е. Э., Тявина А. Д. Морская перевозка нефти с арктических месторождений. перспективы развития и правовое регулирование в современных геополитических условиях // Сб. науч. тр. по материалам II Международ. науч.-практ. конф. «Экономика, финансы и управление: теория и практика». Анапа, 2023. С. 18–29.
5. Галимова А. И., Лей Х. Исследование процессов транспортировки нефти и газа с минимальными потерями углеводородов и выбросами вредных веществ в атмосферу // International Journal of Humanities and Natural Sciences. 2024. № 6-3 (93). С. 171–175.
6. Знаменская А. В., Завертнева М. В. Пути снижения себестоимости в компаниях, относящихся к нефтегазовой отрасли, и вектор их развития // Сб. ст. XIII Международ. науч.-практ. конф. «Повышение управленческого, экономического, социального и инновационно-технического потенциала предприятий, отраслей и народно-хозяйственных комплексов». Пенза: Пенз. гос. аграр. ун-т, 2022. С. 105–109.
7. Коробов Г. Ю., Парфенов Д. В., Нгуен В. Т. Механизмы образования асфальтосмолопарафиновых отложений и факторы, влияющие на интенсивность их формирования // Изв. Том. политехн. ун-та. Инжиниринг георесурсов. 2023. Т. 334, № 4. С. 103–116.
8. Стрелкова К. Ю. и др. Причины образования и технологии борьбы с асфальтосмолопарафиновыми отложениями // Сб. лучших научных работ молодых ученых по результатам XLVII студен. науч. конф. «Молодежная наука». Краснодар: Кубан. гос. технолог. ун-т, 2022. С. 66–74.
9. Богатов М.В. и др. Предотвращение образования асфальтосмолопарафиновых отложений на поверхности насосно-компрессорных труб путем нанесения внутренних покрытий // Нефтегаз. дело. 2022. Т. 20, № 1. С. 74–81.
10. Митрошин А. В. Определение минимальных мероприятий в скважине по предотвращению образования асфальтосмолопарафиновых отложений // Недропользование. 2021. Т. 21, № 2. С. 94–100.
11. Малышев А. А., Боткин И. О. Методы и средства борьбы с отложениями АСПО // Сб. тез. XII Международ. науч.-практ. конф. Ижевск: Ижев. ин-т компьютер. исслед., 2022. С. 65–70.



