Russian Federation
The possibility of using the convolution operation to predict failures of marine mechanical installations is investigated. Errors of shipboard personnel that threaten the safety of navigation are structured according to the functions of the International Convention STCW-78. An engine room specialist is considered as an ergatic element of an ergatic system. Incorrect functioning of the specified element, taken as a dysfunction, leads to the ship's refusal to leave the port or to a breakdown of the ship's mechanical installation. Regular connections are established between the inconsistencies in the condition of ship's equipment identified by port control with the current regulatory requirements and violations of these requirements that caused a marine accident. The statistics of critical inconsistencies in the ship's technical means, which caused the refusal of the ship to leave the port for the period from 2011 to 2019, were studied. During the same period, marine accidents were analyzed for crew violations of competence standards structured according to the functions of the STCW-78 Convention. One dysfunction has been accepted as the accounting unit for the violation of the standard, which means that the seafarer fails to perform or incorrectly performs his prescribed duties on time. The specialist of the ship's technical service is considered as an integral ergatic element in the complex ergatechnical system “marine vessel”. Statistics of detentions and accidents of Russian vessels in the Far Eastern seas for 2011-2019. it is structured in the dysfunction of the ergatic element. The dysfunctions of the STCW-78 functions of the same name have been transformed into series of sequences. Using the operation of dysfunction reduction “marine mechanical installations”, an interval forecast of failures of marine power plants was obtained for the specified period, consistent with real safety indicators.
human factor, ergatic element dysfunction, STCW-78 standards, accidents at sea, sequence convolution, marine engineering
Введение
Судовая энергетическая установка является тем самым элементом, от надежной работы которого зависит возможность выполнения судном задач торгового мореплавания. От квалификации судовой технической службы зависит соблюдение условий перевозки, оговоренных рейсовым заданием, и в итоге прибыли судовладельца. Безопасность мореплавания также зависит от того, насколько точно экипаж соблюдает в своей деятельности установленные нормативные требования. Влияние судового персонала на качество работы судна обозначается понятием «человеческий фактор». Указанный фактор может определяться как психофизиологическими личностными качествами индивида, так и техническими характеристиками эргатического элемента. Изменение личностных качеств моряка под воздействием окружающей морской среды исследовано в настоящее время достаточно подробно, гораздо меньше работ посвящено человеку как элементу такой сложной эргатехнической системы, какой является морское судно [1–3]. При этом не придается значение тому факту, что функционал специалиста судовой технической службы, как неотъемлемого элемента эргатехнической системы, регламентируется стандартами, правилами и инструкциями. Невыполнение моряком (или некорректное, неполное, несвоевременное выполнение) предписанных ему обязанностей является нарушением назначенной ему функции – дисфункцией (от лат. dys – плохой, затрудненный + functio – действие, осуществление). Дисфункцию эргатического элемента можно определить как «…исполнение судовым персоналом своих должностных обязанностей с отклонением от требований минимальных стандартов компетентности или от иных обязательных нормативных требований, которое привело к нештатной работе судна или его технических средств» [3, с. 73]. Функционал каждого члена экипажа морского судна расписан в Международной конвенции о подготовке и дипломировании моряков и несении вахты 1978 г. (ПДНВ-78) [4]. Семь функций Конвенции содержат перечень минимальных стандартов компетенции, необходимых моряку для того, чтобы на своем уровне качественно управлять судном и эксплуатировать оборудование и технические средства. Конвенция определяет функцию «…группу задач, обязанностей и ответственности, указанных в Кодексе ПДНВ, необходимых для эксплуатации судна, обеспечения охраны человеческой жизни на море или защиты морской среды» [4, с. 23]. Функционально-уровневая структура указанного международного документа позволяет по-новому оценить причины морских аварий, а также установить предпосылки задержания судна в порту по причине плохого его состояния.
В 2015 г. в Дальневосточном управлении госморнадзора (подразделение Ространснадзора) был разработан программный комплекс «Надзор» [5–7], действующий по алгоритмам функционально-уров-невого оценивания аварий и задержаний судна в порту [8, 9]. Причинно-следственная связь устанавливалась по методу Каоро Исикавы [10]. В базе данных комплекса [6] регистрируются как дисфункции эргатического элемента, послужившие причиной задержания судна (dpzi), так и дисфункции – причины аварии (dpai). Дисфункции имеют единую природу [9, 11–14], различаются лишь по времени и обстоятельствам их выявления: до задержания или после аварии.
Постановка задачи
Цель настоящего исследования – определить методологические принципы взаимосвязи дисфункций эргатического элемента, послуживших причинами задержаний судов с дисфункциями – причинами аварийных случаев.
Задачи исследования:
– произвести анализ деятельности членов экипажа, причастных к аварии, на предмет соответствия функциям и уровням Международной конвенции ПДНВ-78;
– произвести анализ нарушений, послуживших причиной задержания судна в порту на предмет их соответствия функциям и уровням Международной конвенции ПДНВ-78;
– установить зависимости между двумя видами дисфункций эргатического элемента.
На первом этапе производится эмпирическое исследование статистики аварий и задержаний, затем на базе накопленной информации производится поиск математических зависимостей. Такой комбинированный подход, по мнению ряда исследователей, является достаточно распространенным [15–17].
Решение задачи
Посредством программного комплекса «Надзор» была создана база данных, содержащая дисфункции эргатического элемента на оперирующих в дальневосточных морях судах под флагом Российской Федерации за 2011–2019 гг.
В перечень дисфункций dpzi – причин задержания судна – включены только те существенные недостатки, выявленные в соответствии с приказом Минтранса РФ [18] инспектором портового контроля, которые создавали угрозу безопасности мореплавания и отмечались согласно кодификации Токийского меморандума кодом «30». Результаты анализа за указанный период приведены в табл. 1.
Таблица 1
Table 1
Дисфункции эргатического элемента, послужившие основанием для задержания судна
Dysfunctions of the ergatic element that served as the basis for the detention of the vessel
|
Год |
Судовождение |
Обработка |
Операции на судне |
Судовые |
Электрооборудование судов |
Техническое |
Радиосвязь |
|
2011 |
10 |
10 |
65 |
9 |
3 |
27 |
10 |
|
2012 |
12 |
13 |
60 |
3 |
6 |
21 |
5 |
|
2013 |
5 |
14 |
33 |
1 |
8 |
12 |
5 |
|
2014 |
6 |
5 |
16 |
3 |
4 |
13 |
1 |
|
2015 |
6 |
11 |
13 |
1 |
5 |
13 |
2 |
|
2016 |
5 |
4 |
20 |
6 |
2 |
6 |
4 |
|
2017 |
5 |
2 |
14 |
6 |
3 |
11 |
1 |
|
2018 |
8 |
1 |
32 |
20 |
11 |
31 |
6 |
|
2019 |
20 |
3 |
66 |
22 |
19 |
44 |
7 |
Дисфункции dpai – причины аварии – исследовались по методу Исикавы и по технике «5 почему». По актам расследования аварий из архива надзорного органа за указанный период были проанализированы действия причастных к морскому происшествию лиц и определена степень их участия на каждом из уровней. Данные сведены в табл. 2.
Сведения из таблиц были обработаны с помощью операции свертки. В предположении, что между нарушениями (дисфункциями dpzi и dpai) одноименных функций Конвенции существует взаимосвязь, была произведена свертка двух числовых последовательностей {xi}{yi} (i = 1, 2, …, 9) для нахождения их «похожести» [19]. На основе реальных данных (см. табл. 1 и 2 «Судовые механические установки») за 2011–2018 гг. для прогнозирования аварийных случаев на 2019 г. была вычислена свертка последовательностей. Результаты операции свертки приведены в табл. 3.
В 3-й графе табл. 3 сформирован «обратный» к массиву X4 массив Z4 по формуле
Z4(i) = X4(10 – i), i = 1, 2, …, 9.
В 4-й графе табл. 3 размещены произведения элементов 1-й графы на элементы 3-й графы – Y4Z4.
В 5-й графе определена функция свертки n элементов 4-й графы:
S(n) = Z(1) + Z(2) + … + Z(n), n = 1, 2, …, 8.
На рисунке приведен график свертки, построенный согласно 5-й графе табл. 3.
Таблица 2
Table 2
Дисфункции эргатического элемента, послужившие причиной аварийных случаев
Dysfunctions of the ergatic element that caused accidents
|
Год |
Судовождение |
Обработка |
Операции на судне |
Судовые |
Электрооборудование судов |
Техническое |
Радиосвязь |
|
2011 |
4 |
1 |
16 |
6 |
9 |
1 |
1 |
|
2012 |
10 |
2 |
19 |
10 |
8 |
1 |
0 |
|
2013 |
11 |
3 |
20 |
14 |
5 |
1 |
0 |
|
2014 |
6 |
3 |
19 |
11 |
8 |
0 |
1 |
|
2015 |
15 |
0 |
29 |
19 |
9 |
1 |
0 |
|
2016 |
17 |
1 |
28 |
13 |
15 |
0 |
4 |
|
2017 |
15 |
1 |
23 |
13 |
9 |
2 |
1 |
|
2018 |
14 |
0 |
18 |
12 |
6 |
1 |
6 |
|
2019 |
21 |
2 |
6 |
5 |
5 |
1 |
0 |
Таблица 3
Table 3
Свертка дисфункций задержаний/аварий df4
Convolution of df4 delay/accident dysfunctions
|
Год |
1 |
2 |
3 |
4 |
5 |
|
Y4 |
X4 |
Z4 |
Y4Z4 |
S(n) |
|
|
2011 |
6 |
9 |
22 |
132 |
132 |
|
2012 |
10 |
3 |
20 |
200 |
332 |
|
2013 |
14 |
1 |
6 |
84 |
416 |
|
2014 |
11 |
3 |
6 |
66 |
482 |
|
2015 |
19 |
1 |
1 |
19 |
501 |
|
2016 |
13 |
6 |
3 |
39 |
540 |
|
2017 |
13 |
6 |
1 |
13 |
553 |
|
2018 |
12 |
20 |
3 |
36 |
589 |
|
2019 |
5 |
22 |
9 |
– |
– |
График свертки дисфункции df4
Graph of df4 dysfunction convolution
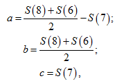
На основе полученной кривой определяется прогнозируемое значение S(n) для n = 9. Согласно результатам анализа графика, это либо возрастающая линейная функция (по точкам 7 и 8), либо сплайн-функция (по точкам 6, 7 и 8). Сплайн-функция – это ветвь параболы S = aS2 + bS + c.
В первом случае прогнозируемое значение вычисляется как
S1(9) = 2S(8) – S(7).
Во втором случае прогноз свертки определяется как
S(9) = 4a + 2b + c,
где
После подстановки значений S(6), S(7), S(8) из табл. 3 находим:
S1(9) = 625; S2(9) = 648,
затем интервальные значения прогноза:
Середина прогноза составляет (4 + 7) / 2 = 5,5, что в целом согласовывается с показателем за 2019 г. (см. табл. 2) дисфункций – причин аварий.
Выводы
1. Влияние человеческого фактора на работу судовых технических средств поддается количественному учету, если рассматривать специалиста судовой технической службы как неотъемлемый эргатический элемент в составе сложной эргатехнической системы «морское судно».
2. Качество эргатического элемента измеряется количеством дисфункций, определяемых как исполнение судовым персоналом своих должностных обязанностей с отклонением от требований минимальных стандартов компетентности или от иных обязательных нормативных требований, которое привело к нештатной работе судна или его технических средств.
3. Дисфункции эргатического элемента, послужившие причиной отказа судну в выходе из порта (задержания), и дисфункции – причины морской аварии – имеют единую природу, основанную на человеческой психофизиологии.
4. Допущение дисфункций в качестве единиц измерения открывает возможности для управления качеством эксплуатации судовой энергетической установки и безопасностью мореплавания в целом.
5. Свертка дисфункций (причин задержания и причин аварии) – как двух последовательностей нарушений одноименных функций – позволяет построить интервальный прогноз количества аварий на последующий отрезок времени (год).
1. Druz' I. B., Gomziakov M. V. Opredelenie vesovykh koeffitsientov po faktoram vliianiia ergaticheskogo elementa sudna na morskuiu avariinost' v Dal'nevostochnom regione [Determination of weighting coefficients based on the factors of influence of the ergatic element of the vessel on the marine accident rate in the Far Eastern region]. Morskie intellektual'nye tekhnologii, 2020, no. 1-2 (47), pp. 136-144.
2. Glaziuk D. K., Sobolenko A. N. Otsenka nadezhnosti sudovoi energeticheskoi ustanovki kak slozhnoi ergatekhni-cheskoi sistemy [Assessment of the reliability of a marine power plant as a complex ergotechnical system]. Morskie intel-lektual'nye tekhnologii, 2016, no. 3-1 (33), pp. 204-207.
3. Sobolenko A. N., Gomziakov M. V. Analiz prichin nekotorykh avariinykh sluchaev sudovykh energeticheskikh usta-novok v Dal'nevostochnom regione v 2020 godu [Analysis of the causes of some accidents of marine power plants in the Far Eastern region in 2020]. Morskie intellektual'nye tekhnologii, 2021, no. 4-3 (54), pp. 72-78.
4. Mezhdunarodnaia konventsiia o podgotovke i diplomirovanii moriakov i nesenii vakhty 1978 goda (PDNV-78) s popravkami [International Convention on the Training, Certification and Watchkeeping of Seafarers, 1978 (STCW-78), as amended]. Saint Petersburg, Izd-vo TsNIIMF, 2010. 806 p.
5. Lentarev A. A., Oloviannikov A. L., Turishchev I. P., Gomziakov M. V., Moskalenko O. V. Povyshenie effek-tivnosti kontrol'no-nadzornoi deiatel'nosti Dal'nevostoch-nogo upravleniia gosudarstvennogo morskogo nadzora s primenenie risk-orientirovannogo podkhoda za schet ispol'-zovaniia informatsionnykh tekhnologii [Improving the effectiveness of the control and supervisory activities of the Far Eastern Department of State Maritime Supervision with the use of a risk-based approach through the use of information technology]. Morskie intellektual'nye tekhnologii, 2017, no. 3-2 (37), pp. 178-183.
6. Oloviannikov A. L., Gomziakov M. V. Programmnyi kompleks dlia planirovaniia nadzornoi deiatel'nosti za bezopas-nost'iu moreplavaniia [A software package for planning oversight activities for the safety of navigation]. Svidetel'stvo o gosu-darstvennoi registratsii programmy dlia EVM RU 2019617611 № 2019614816, 18.06.2019.
7. Oloviannikov A. L., Turishchev I. P., Gomziakov M. V., Moskalenko O. V. Programmnyi kompleks Dal'nevo-stochnogo upravleniia gosudarstvennogo morskogo nadzora Federal'noi sluzhby po nadzoru v sfere transporta. Problemy transporta Dal'nego Vostoka [The software package of the Far Eastern Department of State Maritime Supervision of the Federal Service for Supervision of Transport. Problems of transport in the Far East]. Plenarnye doklady XI Mezhdunarodnoi nauchno-prakticheskoi konferentsii (Vladivostok, 02–04 oktiabria 2015 g.). Vladivostok, Izd-vo DVO Rossiiskoi akademii transporta, 2015. 68 p.
8. Turishchev I. P., Gomziakov M. V., Moskalenko O. V. Analiz neshtatnogo funktsionirovaniia ergaticheskogo elementa pri polomkakh sudovykh tekhnicheskikh sredstv [Analysis of abnormal functioning of the ergatic element in case of shipboard equipment failures]. Vestnik inzhenernoi shkoly DVFU, 2021, no. 1 (46), pp. 70-80.
9. Turishchev I. P., Gomziakov M. V. Funktsional'no-urovnevyi sostav zaderzhanii sudov v portakh Dal'nego Vo-stoka [Functional and level structure of ship detentions in ports of the Far East]. Svidetel'stvo o gosudarstvennoi registratsii bazy dannykh RU 2021622994 № 2021622899, 16.12.2021.
10. Sobolenko A. N., Gomziakov M. V. Nadezhnost' ergaticheskogo elementa v sostave sudovoi energeticheskoi ustanovki [Reliability of the ergatic element in the ship's power plant]. Morskie intellektual'nye tekhnologii, 2021, no. 4-3 (54), pp. 66-71.
11. Katsman F. M. Chelovecheskii faktor v probleme obespecheniia bezopasnosti sudokhodstva [The human factor in the problem of ensuring the safety of navigation]. Saint Petersburg, Izd-vo SPGUVK, 2003. 150 p.
12. Klimenko V. D. Bezopasnost' moreplavaniia i uchet chelovecheskogo faktora [Safety of navigation and consideration of the human factor]. Morskoi transport. Seriia: Sudovozhdenie, sviaz' i bezopasnost' moreplavaniia. Ekspress-informatsiia. Moscow, Mortekhinformreklama Publ., 2002. Iss. 8 (399). Pp. 36-38.
13. Gomziakov M. V. Prichiny avariinykh otkazov sudovykh dizelei v DV regione za 2016 god [Causes of emergency failures of marine diesel engines in the DV region in 2016]. Ekspluatatsiia morskogo transporta, 2020, no. 2 (95), pp. 70-75.
14. Gomziakov M. V. Otkazy glavnykh dvigatelei i mekhanizmov na dal'nevostochnykh sudakh v 2015 godu [Failures of main engines and mechanisms on Far Eastern ships in 2015]. Morskoi vestnik, 2020, no. 4 (76), pp. 90-93.
15. Kicha G. P., Nadezhkin A. V., Semeniuk L. A. Novye stokhasticheskie modeli ochistki topliv i masel sudovymi tsen-trobezhnymi apparatami so slozhnoi gidrodinamicheskoi obstanovkoi [New stochastic models of fuel and oil purification by shipboard centrifugal apparatuses with complex hydrodynamic conditions]. Morskie intellektual'nye tekhnologii, 2018, no. 4-5 (42), pp. 77-89.
16. Kicha G. P., Semeniuk L. A., Tarasov M. I. Stokhasticheskaia iacheistaia model' ochistki motornogo masla ot mek-hanicheskikh primesei ob"emnym fil'trovaniem [Stochastic cellular model of engine oil purification from mechanical impurities by volumetric filtration]. Morskie intellektual'nye tekhnologii, 2020, no. 1-2 (47), pp. 105-112.
17. Nadezhkin A. V., Kicha G. P., Semeniuk L. A. Optimizatsiia rezhimov kombinirovannoi ochistki motornogo masla v sudovykh dizeliakh metodami variatsionnogo ischisleniia [Optimization of combined engine oil purification modes in marine diesel engines using the methods of calculus of variations]. Morskie intellektual'nye tekhnologii, 2017, no. 3-2 (37), pp. 93-100.
18. Ob utverzhdenii Obshchikh pravil plavaniia i stoianki sudov v morskikh portakh Rossiiskoi Federatsii i na pod-khodakh k nim: Prikaz Mintransa RF ot 26.10.2017 № 463 [On approval of the General Rules of Navigation and parking of vessels in seaports of the Russian Federation and on approaches to them: Order of the Ministry of Transport of the Russian Federation dated October 26, 2017 No. 463]. Available at: https://www.garant.ru/products/ipo/prime/doc/71807196/ (accessed: 10.12.2024).
19. Goncharov E. I. Mnogomerno-matrichnoe opredelenie operatsii svertki [Multidimensional-matrix definition of the convolution operation]. Sovremennye informatsionnye techno-logii i IT-obrazovanie, 2021, vol. 17, no. 3, pp. 541-549.



