Kaliningrad, Kalinigrad, Russian Federation
Kaliningrad, Kalinigrad, Russian Federation
UDC 621.65
An assessment of the energy efficiency of a rotifer pump when pumping a highly viscous food medium has been performed. The dependences of the pump supply and spent power on the rotor rotation frequency, pressure drop and viscosity of the pumped liquid are analyzed. It has been established that the effective dynamic viscosity of minced fish significantly exceeds 10 Pa•s already at atmospheric pressure. This means that when pumping such media, the rotifer pump operates with a high load. In addition, it was shown that with increasing rotor speed and a dimensionless pressure drop, the expended pump power increases. For example, if the rotor speed is increased from 60 to 300 rpm, the power consumption will increase 4.7 times with a dimensionless pressure drop of p = 1 and 6.3 times with p = 10. The hydraulic efficiency and the indicator of specific energy costs are investigated. It was found that as the rotor speed increases, the hydraulic efficiency decreases, and the specific energy consumption increases. At the same time, an increase in the dimensionless pressure drop leads to an increase in both indicators. The results obtained allow us to conclude that to assess the energy efficiency of a pumping unit when pumping highly viscous media, an indicator of specific energy costs should be used, rather than hydraulic efficiency. This is because hydraulic efficiency is calculated based on the total pressure drop, which includes both static pressure drop and hydraulic pressure losses. Thus, an increase in the latter leads to an increase in hydraulic efficiency, which does not always reflect the actual efficiency of the pump. The obtained analytical expressions of the working characteristics of the rotifer pump can be further used to find the optimal diameter of the process pipeline for the interoperable transportation of semi-finished products from minced fish with various additives according to the criterion of the minimum present value of the equipment.
rotifer pump, minced fish, highly viscous liquid, energy efficiency, hydraulic efficiency
Состояние проблемы
В технологических линиях по производству многих полуфабрикатов из рыбного фарша используются различные насосы как для подачи воды (например, для промывки), так и для межоперационного транспортирования сырья по трубопроводу [1–3]. С подачей воды наилучшим образом справляются центробежные насосы, тогда как рациональный выбор насоса для подачи рыбного фарша является актуальной проблемой. Традиционно в таких технологических трубопроводах использовались одновинтовые насосы (ОВН) [4, 5]. Проведенные исследова-
ния [6–8] позволили разработать метод оценки энергетической эффективности ОВН, который может быть применен и к другим объемным насосам. Ранее было показано экспериментально [9] и теоретически [10], что коловратный насос (КН) позволяет наилучшим образом сохранить структуру фарша при достаточно высоких показателях энергетической эффективности. Однако стоимость КН из-за особенностей конструкции выше других насосов. На рис. 1 показана стоимость объемных пищевых насосов при сопоставимых максимальных подачах Qm по прайс-листам каталога Zenova [11] на 01.12.2024.

Рис. 1. Сравнение стоимости объемных пищевых насосов по данным прайс-листов [11]:
1 – шестеренные насосы Zenova KCB-A; 2 – ОВН Zeus; 3 – КН Zenova 2LX
Fig. 1. Comparison of the cost of volumetric food pumps according to price lists [11]:
1 – Zenova KCB-A gear pumps; 2 – SSP Zeus; 3 – RP Zenova 2LX
Несмотря на некоторую условность такого отбора насосов только по одному техническому параметру Qm, видно существенное превышение стоимости КН по сравнению с ОВН и шестеренными насосами. В связи с вышеизложенным использование КН целесообразно, в первую очередь, при производстве тех полуфабрикатов, для которых критически важно сохранить структуру. Таковыми являются полуфабрикаты из рыбного фарша с различными добавками (ПРФД). Производительность и энергетическая эффективность КН зависит от вязкости перекачиваемых пищевых масс [12–14]. Цель работы – определить энергетическую эффективность коловратного насоса при перекачивании высоковязкой пищевой среды – рыбного фарша.
Материалы и методы
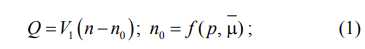
Ранее были найдены аналитические зависимости подачи Q и затраченной мощности N КН от трех переменных величин: частоты вращения ротора (ЧВР) n, перепада давления ΔP, коэффициента динамической вязкости жидкости (КДВ) μ [13, 14]:
![]()
![]()
где NW – часть затраченной мощности КН, зависящая от безразмерного перепада давления (БПД), кВт; NF – часть затраченной мощности КН, зависящая от безразмерного коэффициента динамической вязкости (БКДВ) перекачиваемой жидкости, кВт;
μ0 – КДВ воды при 20 °С, Па·с; p = ΔP / PA – БПД, PA – атмосферное давление, Па; V1 – объем жидкости, перекачиваемой за один оборот ротора, дм3, при p = 0; AW, AF, θ – эмпирические величины, определяемые методом наименьших квадратов по данным испытаний, их значения для WCB RF-034: AW = 0,0223 кДж, AF = 0,0405 кДж, θ = 0,501.
На рис. 2 представлено сопоставление расчетных значений, полученных по формуле (1), с экспериментальными данными компании SPX для насосов серии Waukesha Cherry-Burrell.

Рис. 2. Зависимость производительности LP WCB RF-034 от относительной вязкости жидкости
при ΔP = 345 кПа и различных значениях ЧВР:
1 – n = 2 с–1; 2 – n = 3 с–1; 3 – n = 4 с–1; 4 – n = 5 с–1.
Символы – данные испытаний, линии – расчет по (1)
Fig. 2. Dependence of LP WCB RF-034 capacity on the relative viscosity
of the liquid at ΔP = 345 kPa and different rotor speed values:
1 – n = 2 s–1; 2 – n = 3 s–1; 3 – n = 4 s–1; 4 – n = 5 s–1.
Symbols – test data, lines – calculation according to (1)
Можно отметить, что подача КН растет с увеличением небольших значений КДВ, но при μ > 1 Па·с
Эмпирические константы в формуле (2) ранее [13] были подобраны для подачи пищевых сред с КДВ от 1 до 5 000 сПз. При больших значениях КДВ результаты расчета по этой формуле заметно отличаются от экспериментальных данных. Для сред с такой большой вязкостью необходима корректировка формулы для NF.
Полуфабрикаты из рыбного фарша с различными добавками имеют реологические свойства неньютоновских жидкостей, их эффективная динамическая вязкость (ЭДВ) зависит не только от состава, температуры, степени измельчения, но и от скорости сдвига ω, которая определяется ЧВР КН (ω ≈ 2πn). Необходимо подобрать модель, описывающую реологическое поведение ПРФД. Этой проблеме посвящено большое количество научных публикаций [15–21].
Большинство исследователей полагает, что для ПРФД наилучшей является степенная реологическая модель и ЭДВ можно найти по формуле
μ = K ωm–1, (3)
где m – индекс течения (показатель неньютоновского поведения жидкости); K – коэффициент консистенции жидкости, Па∙сm; ω – градиент (сдвиг) скорости, с–1.
В экспериментальных исследованиях, выполненных под руководством А. В. Горбатова [22], было установлено, что динамическая вязкость мясного фарша увеличивается при возрастании избыточного давления. Авторы [22, с. 148] объясняют этот эффект так: «…приложенное давление вызывает переориентацию частиц, более компактную их упаковку с одновременным деформированием; количество
и объем воздушных полостей сокращается. Все это ведет к упрочнению связей между частицами, и для разрушения системы требуются более интенсивные внешние воздействия».
В дальнейшем И. В. Голованец опубликовал результаты лабораторных исследований, позволивших получить зависимость реологических характеристик ПРДФ от избыточного давления [15, 16]. Далее, для определенности, в (3) будем рассматривать реологические параметры рыбного фарша «Сельдь рубленая» (ФСР). С ростом БПД оба параметра увеличиваются. Используем линейную аппроксимацию
K = K0 + K1p; m = m0 + m1 p, (4)
где K0, K1, m0, m1 – эмпирические константы. Их значения для ФСР были найдены методом наименьших квадратов (МНК): K0 = 66,0; K1 = 34,09; m0 = 0,525; m1 = 0,0224. Видно, что результаты расчета по формулам (4) вполне удовлетворительно согласуются с опытными данными (рис. 3).

Рис. 3. Зависимость реологических параметров рыбного фарша
«Сельдь рубленая» от безразмерного избыточного давления:
a – коэффициент консистенции жидкости; б – индекс течения.
Символы – экспериментальные данные [15], линии – результат расчета по формулам (4)
Fig. 3. Dependence of rheological parameters of minced fish
“Chopped Herring” on dimensionless pressure drop:
a – liquid consistency coefficient; б – stability index.
Symbols – experimental data [15], lines – calculation of the result using formulas (4)
Для части затраченной мощности КН, зависящей от БКДВ перекачиваемой жидкости, нами была подобрана формула, справедливая от 10 до 200 Па·с (
= 10 000 – 200 000):
(5)
где эмпирические константы в (5) были найдены с помощью МНК для КН 034-WCB: B0 = 0,03626 кДж; s = 0 2465; φ0 = 0,0001198; z = 0,592.
Результаты и обсуждение
Подстановка формулы (4) в (3) позволила оценить величины ЭДВ ФСР при ЧВР до 5 с–1, используемые в КН при перекачивании высоковязких сред (рис. 4).

Рис. 4. Результаты расчета по формулам (3), (4) зависимости ЭДВ рыбного фарша «Сельдь рубленая»
от ЧВР при разных значениях безразмерного избыточного давления:
1 – p = 0; 2 – p = 1,5; 3 – p = 4; 4 – p = 6; 5 – p = 8; 6 – p =10
Fig. 4. Results of calculations using formulas (3), (4) of the dependence of the effective dynamic viscosity
of minced fish “Chopped Herring” on the rotor speed at different values of the dimensionless pressure drop:
1 – p = 0; 2 – p = 1.5; 3 – p = 4; 4 – p = 6; 5 – p = 8; 6 – p = 10
Видно, что ЭДВ ФСР превышает 10 Па·с даже при отсутствии избыточного давления (p = 0). При больших значениях избыточного давления величина μ заметно возрастает и может достигать 100 Па·с и более.
Результаты расчета по формулам (5) вполне удовлетворительно согласуются с экспериментальными данными компании SPX для насосов серии Waukesha Cherry-Burrell (рис. 5).

Рис. 5. Зависимость части затраченной мощности КН 034-WCB, обусловленной вязкостью,
от ЧВР при различных значениях БКДВ:
1 –
= 10 000; 2 –
= 20 000; 3 –
= 30 000; 4 –
= 50 000; 5 –
= 100 000.
Символы – экспериментальные данные, линии – результаты расчетов по (5)
Fig. 5. Dependence of the part of the expended power of the 034-WCB rotary lobe pump,
caused by viscosity, on the rotor speed at different values of the dimensionless coefficient of dynamic viscosity:
1 –
= 10 000; 2 –
= 20 000; 3 –
= 30 000; 4 –
= 50 000; 5 –
= 100 000.
Symbols – experimental data, lines – the results of calculations according to (5)
Индекс детерминации равен 0,96.
Однако непосредственно воспользоваться графиками на рис. 5 для определения энергетических затрат КН можно только при перекачивании ньютоновских жидкостей, на которых проводились испытания. Действительно, рассмотрим любую линию на рис. 5, например, 1. С увеличением ЧВР при постоянном значении БКДВ затраченная мощность растет. Но у неньютоновской среды, какой и является ПРФД, эффективная вязкость будет меняться при изменении ЧВР. Чтобы учесть реологические свойства ПРФД, заменим в формуле (2) третий компонент уравнения, отвечающий за расчет мощности вязкостного сопротивления NF, на выражение (5), предварительно определив БКДВ по формуле (3), после чего полная затраченная мощность КН рассчитывается как сумма гидравлической и вязкостной составляющих: N = NW + NF. По рис. 6 видно, что затраченная мощность КН растет как с увеличением ЧВР, так и БПД.

Рис. 6. Результаты расчета по формулам (2) и (5) зависимости затраченной мощности 034-WCB от ЧВР
при подаче рыбного фарша «Сельдь рубленая» для различных значений БПД:
1 – p = 1; 2 – p = 3; 3 – p = 5; 4 – p = 7; 5 – p = 10
Fig. 6. Results of calculation using formula (2) and (5) of the dependence of the expended power of 034-WCB
on the rotor speed when feeding minced fish “Chopped Herring”
for different values of the dimensionless pressure drop:
1 – p = 1; 2 – p = 3; 3 – p = 5; 4 – p = 7; 5 – p = 10
Если увеличить ЧВР с 60 до 300 об/мин, затраченная мощность возрастет в 4,7 раза при БПД р = 1 и в 6,3 раза при р = 10. Так как рассматривается случай атмосферного давления на входе КН, то величина избыточного давления на выходе КН равна перепаду давления. Традиционно энергетическую эффективность насосов оценивают по гидравлическому коэффициенту полезного действия (ГКПД) η:
η = 100Ng / N; Ng = ΔPQ, (6)
где Ng – гидравлическая мощность насоса, Вт. Важно отметить, что величину Ng нельзя отождествлять с полезной мощностью, как ее понимают в различных отраслях промышленности. В [23, 24] было показано, при изменении гидравлического сопротивления сети с центробежным насосом нельзя оценивать ее энергетическую эффективность с помощью ГКПД. В этом случае целесообразно использовать показатель удельных энергетических затрат (ПУЭЗ) насоса E, равный отношению механической работы, затраченной на перекачивание жидкости, к объему этой жидкости (или затраченная мощность, деленная на подачу насоса):
E = N / Q. (7)
На рис. 7 и 8 показаны результаты расчета ГКПД и ПУЭЗ КН по формулам (6) и (7).
Оба показателя прогнозируют ухудшение энергетической эффективности с возрастанием значений ЧВР (ГКПД уменьшается, ПУЭЗ увеличивается). Причем при больших значениях БПД этот эффект проявляется заметно сильнее, чем при малых.

Рис. 7. Результаты расчета по формуле (6) зависимости ГКПД 034-WCB от ЧВР
при подаче рыбного фарша «Сельдь рубленая» для различных значений БПД:
1 – p = 1; 2 – p = 3; 3 – p = 5; 4 – p = 7; 5 – p = 10
Fig. 7. Results of calculation according to formula (6) of the dependence of the of the hydraulic efficiency of 034-WCB
on the rotor speed when feeding minced fish “Chopped Herring” for different values of the dimensionless pressure drop:
1 – p = 1; 2 – p = 3; 3 – p = 5; 4 – p = 7; 5 – p = 10

Рис. 8. Результаты расчета по формуле (7) зависимости ПУЭЗ 034-WCB от ЧВР
при подаче рыбного фарша «Сельдь рубленая» для различных значений БПД:
1 – p = 1; 2 – p = 3; 3 – p = 5; 4 – p = 7; 5 – p = 10
Fig. 8. Results of calculation using formula (7) of the dependence of the specific energy consumption indicator 034-WCB
on the rotor speed when feeding minced fish “Chopped Herring”
for different values of the dimensionless pressure drop: 1 – p = 1; 2 – p = 3; 3 – p = 5; 4 – p = 7; 5 – p = 10
Как было показано выше, при увеличении давления динамическая вязкость ФСР растет. Известно, что при подаче жидкости с большей вязкостью возрастают гидравлические потери на трение. Значит, должны ухудшаться показатели энергетической эффективности установки. По данным рис. 7, 8 при увеличении давления оба показателя возрастают, но для ГКПД это означает улучшение энергетической эффективности, а для ПУЭЗ – ухудшение. В рассматриваемом случае физическому смыслу соответствует изменение ПУЭЗ.
Заключение
Расчеты, выполненные в ходе данного исследования, позволили установить следующее:
1) значение ЭДВ при перекачивании ФСР КН (при ЧВР n до 5 с–1) превышает 10 Па·с уже при отсутствии избыточного давления (р = 0);
2) при перекачивании ФСР КН с увеличением ЧВР и БПД затраченная мощность КН растет;
3) при увеличении ЧВР уменьшается ГКПД, при этом ПУЭЗ увеличивается;
4) при увеличении БПД значения ГКПД и ПУЭЗ увеличиваются. Гидравлический КПД рассчитывается по полному перепаду давления, который включает и статический перепад давления, и гидравлические потери давления, т. е. возрастание последних приводит к увеличению ГКПД. Поэтому в таких случаях для оценки энергетической эффективности насосного агрегата рекомендуется использовать не ГКПД, а ПУЭЗ.
Для корректного решения задачи оптимизации диаметра трубопровода по критерию минимальных приведенных затрат (капитальные вложения и эксплуатационные расходы) необходимо располагать рабочими характеристиками насосного оборудования. Полученные в данной статье аналитические выражения для рабочих характеристик коловратного насоса позволят в дальнейшем поставить и решить такую оптимизационную задачу для технологического трубопровода межоперационного транспортирования ПРДФ. Но это тема отдельной статьи.
1. Mukatova M. D., Kirichko N. A., Romanenkova E. N., Uglova N. Y. Tehnologiya promytogo rybnogo farsha iz obektov vozmozhnogo promysla Volzhsko-Kaspijskogo bassejna [Technology for washed fish mince of the objects of available fishery in the Volga-Caspian basin]. Izvestiya TINRO, 2018, vol. 193, pp. 223–236. https://doi.org/10.26428/1606-9919-2018-193-223-236.
2. Holembovska N., Tyshchenko L., Slobodyanyuk N., Israelian V., Kryzhova Y., Ivaniuta A., Pylypchuk O., Menchynska A., Shtonda O., Nosevych D. Use of aromatic root vegetables in the technology of freshwater fish preserves. Slovak Journal of Food Sciences, 2021, vol. 15, pp. 296-305. https://doi.org/10.5219/1581.
3. Lisovitskaya E. P., Lameikina A. V. Tehnologiya izgotovleniya rybnyh polufabrikatov dlya detskogo pitaniya [Technology of production of fish semi-finished products for baby food]. Sbornik nauchnyh trudov KNCZV, 2023, vol. 12, no. 2, pp. 95-99.
4. Yu C., Gunasekaran S. Modeling of melt conveying in a deep-channel single-screw cheese stretcher. Journal of Food Engineering, 2004, vol. 61, pp. 241-251. https://doi.org/10.1016/S0260-8774(03)00096-7.
5. Yin Y., Zhou C., Zhao F., Wang L., Zilong Y., Jin J. Design and investigation on a novel piezoelectric screw pump. Smart materials and structures, 2020, vol. 29, no. 8, pp. 085013. https://doi.org/10.1088/1361-665X/ab98ec.
6. Naumov V. A. Effect of Liquid Food Viscosity on the Load Characteristics of Single-Screw Pumps. Food Processing: Techniques and Technology, 2021. vol. 51, no. 2, pp. 290-300. https://doi.org/10.21603/2074-9414-2021-2-290-300.
7. Akhmedova N. R., Naumov V. A. Determination of the load characteristics of single-screw pumps used at the enterprises of the agroindustrial complex. IOP Conference Series: Earth and Environmental Science, 2022, vol. 1045, pp. 012074. https://doi.org/10.1088/1755-1315/1045/1/012074.
8. Velikanov N. L., Naumov V. A. Transportation of fish oil through a pipeline by a single-screw pump. Vestnik of As-trakhan State Technical University. Series: Fishing industry, 2024, no. 3, pp. 95-101. https://doi.org/10.24143/2073-5529-2024-3-95-101.
9. Gorbatov A. V. Reologiya myasnyh i molochnyh produktov: monografiya [Rheology of meat and dairy products: monograph]. Moscow, Pishchevaya promyshlennost' Publ., 1979, 384 p.
10. Naumov V. A. Proizvoditel'nost' i energeticheskaya effektivnost' kolovratnogo nasosa pri perekachivanii myasnogo farsha [Productivity and energy efficiency of the lobe pump for minced meat pumping]. Vse o myase, 2024, no. 4, pp. 44-48. https://doi.org/10.21323/2071-2499-2024-4-44-48.
11. Katalog Zenova. Nasosy dlya vyazkih zhidkostej [Zenova Catalogue. Pumps for viscous liquids]. Available at: https://zenova.ru/sections/nasosy-dlja-vjazkih-sred (accessed: 04.04.2025).
12. Li Y. B., Du J., Guo D. S. Numerical research on viscous oil flow characteristics inside the rotor cavity of rotary lobe pump. Journal of the Brazilian Society of Me-chanical Sciences and Engineering, 2019, vol. 41, pp. 1-11. https://doi.org/10.1007/s40430-019-1781-0.
13. Akhmedova N. R., Levicheva O. I., Naumov V. A. Vliyanie vyazkosti zhidkih pishevyh produktov na energetich-eskuyu effektivnost kulachkovyh nasosov [Influence of liquid food products viscosity on the lobe pumps energy efficiency]. Izvestiya vysshih uchebnyh zavedenij. Pishchevaya tekhnologiya, 2023, no. 5-6, pp. 88-93. https://doi.org/10.26297/0579-3009.2023.5-6.14.
14. Levicheva O. I. Usovershenstvovanie analiticheskoj modeli nagruzochnyh harakteristik pishevyh kolovratnyh nasosov [The analytical model improvement of the food lobe pumps load characteristics]. Vestnik nauki i obrazovaniya Severo-Zapada Rossii, 2025, vol. 11, no. 1, pp. 18–27.
15. Golovanets V. A. Issledovanie strukturno-mehanicheskih svojstv rybnyh farshej s celyu rascheta i sovershenstvovaniya truboprovodnogo mezhoperacionnogo transporta. Avtoreferat dis. … kand. tekhn. nauk [Study of structural and mechanical properties of minced fish for the purpose of calculating and improving pipeline interoperational transport. Abstract of diss. … Cand. of Engineering Sciences]. Moscow, MTIMMP, 1979. 24 p.
16. Golovanets V. A., Sachko N. V., Prokhorenko V. V. Issledovanie reologicheskih harakteristik rybnogo syrya, ispolzuemogo dlya proizvodstva rybnoj muki i zhira [Study of rheological characteristics of fish raw materials used for the production of fish meal and oil]. Vestnik Kamchatskogo gosudarstvennogo tekhnicheskogo universiteta, 2005, no. 4, pp. 253-255.
17. Tereshchenko V. P., Alshevsky D. L., Alshevskaya M. N., Kerevichene E. E. Izmenenie reologicheskih harakteristik farshej iz ryby i pticy dlya proizvodstva koekstruzionnyh polufabrikatov [Paultry a fish mince reological characteristics chacges for coectrusion production of semiready products]. Izvestiya KGTU, 2009, no. 15, pp. 87-91.
18. Rodionova N. S., Smirnykh A. A., Zatsepilina N. P. Reologicheskie svojstva rybno-pechenochnogo farsha na osnove raznyh vidov ryb [Fish-livermince properties with use of different kinds of fish]. Izvestiya vysshih uchebnyh zavedenij. Pishchevaya tekhnologiya, 2009, no. 4, pp. 35-37.
19. Kutina O. I., Driakhlov A. O. Vliianie rastitel'nykh komponentov na strukturno-mekhanicheskie i reologicheskie kharakteristiki rybnykh farshevykh sistem [Influence of vegetable components on structural, mechanical and rheological characteristics of minced fish systems]. Tovaroved prodovol'stvennykh tovarov, 2012, no. 3, pp. 35-37.
20. Kogan V. V., Semenova L. E. Inzhenernaya reologiya v pishevoj promyshlennosti [Engineering rheology in food industry]. Vestnik Astrahanskogo gosudarstvennogo tekhnicheskogo universiteta. Seriya: Rybnoe hozyajstvo, 2019, no. 4, pp. 147-156. https://doi.org/10.24143/2073-5529-2019-4-147-156.
21. Fatykhov Yu. A., Alshevsky D. L., Ustich V. I., Korzhavina Yu. N., Veremey E. E. Study of the rheological properties of minced fish from aquaculture objects. Vestnik of Astrakhan State Technical University. Series: Fishing Industry, 2023, no. 3, pp. 119-128. https://doi.org/10.24143/2073-5529-2023-3-119-128.
22. Gorbatov A. V., Kosoj V. D. Vliyanie davleniya, vlazhnosti i temperatury na strukturno mekhanicheskie svojstva farsha [The influence of pressure, humidity and temperature on the structural and mechanical properties of minced meat]. Izvestiya vuzov SSSR. Pishchevaya tekhnologiya, 1970, no. 2, pp. 146-151.
23. Lagutochkin A. A. Sravnitelnaya ocenka pokazatelej energoeffektivnosti osevyh nasosov [Comparative assessment of energy efficiency indicators of axial pumps]. Vestnik nauki i obrazovaniya Severo-Zapada Rossii, 2023, vol. 9, no. 2, pp. 115-126.
24. Velikanov N. L., Naumov V. A. Energeticheskaya effektivnost gidravlicheskoj sistemy s centrobezhnym nasosom [Energy efficiency of a hydraulic system with the centrifugal pump]. Izvestiya vysshih uchebnyh zavedenij. Mashinostroenie, 2024, no. 10, pp. 54-60.




