Russian Federation
The paper contains the result of determining the importance of the requirements of the STCW-78 Convention in the safe operation of marine vessels. It is noted that the study is of great importance for the formation of the scope and subject of the programs of basic and additional training of crew members of naval vessels, as well as for the development of materials used in maritime qualification commissions in assessing the competence of seafarers. The current programs correspond to the minimum standards of competence thematically, but do not imply quantitative compliance with the actual “weight” of the convention function. The purpose of the study is to examine the “weighing” by highly qualified specialists in the field of maritime safety of the standards of competence of each of the seven functions of the Convention in relation to maritime accidents. The significance of functions was determined by the hierarchy analysis method developed by T. Saati. According to the results of a survey of fifteen experts conducted through a paper questionnaire, paired comparison matrices have been compiled. Each function of the STCW-78 Convention was compared with each of the remaining ones for importance for the safety of navigation in three categories: equal importance; more significant; significantly more significant. The survey results, presented as tables, have been converted into matrices. Using the numerical method, an index of consistency was established based on iterations and the “weight” of each expert was determined. Respondents with a high consistency index are excluded from the representative list. The questionnaires of the remaining eight experts served as the basis for assessing the impact of the crew's abnormal performance of their functions (dysfunctions) on the creation of an emergency. It has been established that the dysfunctions of “navigation” and “technical operation and repair” are of the greatest importance for the safety of navigation.
analytic hierarchy process, ergatic element dysfunction, matrix of paired comparisons, expert consistency index, STCW-78, marine accident
Введение
Международная конвенция о подготовке и дипломировании моряков и несении вахты ПДНВ-78 (Конвенция) является основополагающим документом, определяющим для стран-участниц качество персонала морских судов, осуществляющих торговое мореплавание. Разработанный Международной морской организацией (ИМО) в 1978 г. документ содержит положения Конвенции и текст Кодекса, в котором приводятся таблицы с минимальными стандартами компетенций для использования участниками международного судоходства при разработке своих национальных требований в области безопасности мореплавания. Компетенции, необходимые для управления судном, структурированы по функциям, каждая из которых означает «…группу задач, обязанностей и ответственности, указанных в Кодексе ПДНВ, необходимых для эксплуатации судна, обеспечения охраны человеческой жизни на море или защиты морской среды» [1, с. 23]. Конвенция вступила в силу в 1984 г. Россия присоединилась к ней в 2000 г., что выразилось в корректировке ряда нормативных требований, в первую очередь в процедуре обмена каждым моряком своего «морского» диплома, под которым следует понимать «…действительный документ, как бы он ни назывался, выданный Администрацией или по ее уполномочию, либо признаваемый Администрацией и дающий право его владельцу на занятие должности, указанной в этом документе или разрешенной национальными правилами» [1, с. 13]. В новом документе указывались конкретные функции, которые владелец диплома компетентен выполнять на судне на уровне своей ответственности. При этом набор функций для каждой специальности различался. Так, в дипломе судового электромеханика до 2010 г. указывалась функция под номером 5, соответствующая функции «электрооборудование, электронная аппаратура и системы управления на уровне эксплуатации»; в дипломе судового радиооператора – «радиосвязь на уровне эксплуатации» и т. д. Каждая из семи функций Конвенции содержит описание минимальных стандартов, которым должна соответствовать компетенция владельца диплома. Предполагается, что при наличии у моряка компетенции равной или выше указанных стандартов функция конвенции будет реализована полностью.
Вопросы «весомости» возникают при разработке программ дополнительной подготовки моряков в учебно-тренажерных центрах и при составлении материалов для оценки компетентности плавсостава в морских квалификационных комиссиях. Логично предположить, что наиболее весомым функциям следует уделять больше часов подготовки. Тема «весов» функций Конвенции и влияние их на качество эксплуатации судна и его силовой установки в настоящее время остается дискуссионной [2]. Авторитетные в области судовой энергетики исследователи полагают, что эмпирический подход не эффективен в отношении множества изменяющихся параметров, какими являются минимальные стандарты компетентности [3–5].
Цели и задачи исследования
Целью настоящей работы является определение «веса» каждой отдельной функции Конвенции, для чего автором было проведено исследование мнений экспертов о влиянии указанных функций на качество эксплуатации судна, его технических средств и оборудования. В группу, состоящую их 15-и экспертов, вошли специалисты, представляющие самые разные виды морской деятельности: контроль и надзор за мореплаванием; техническое наблюдение; образование; организация спасательных работ; расследование аварий; оценка компетентности плавсостава; торговое мореплавание. Все эксперты имеют высшее морское образование, опыт работы как в командных должностях на морском судне, так и на берегу. Средний трудовой стаж экспертов составил не менее 36-и лет, плавательный – не менее 19-и лет. Два специалиста являются кандидатами технических наук и имеют научные звания доцентов, один является кандидатом юридических наук. По мнению автора, представленная группа респондентов в достаточной мере обладает компетенциями всех функций Конвенции и может выступать в роли экспертов при определении их «весов».
Материалы и методы исследования
Определение «весов» функций производилось методом анализа иерархий [6]. Указанный метод является широко используемым на практике инструментом, позволяющим обосновать формирование критерия эффективности, в нашем случае – «вес» функции. При этом эксперт не ищет единственно верный критерий, а лишь сравнивает все альтернативные варианты и затем выбирает наилучший сообразно своим профессиональным знаниям и внутреннему убеждению. Указанный подход позволяет количественно оценивать однородные альтернативные варианты [7]. Производя анализ, эксперт рассматривает требования Конвенции как совокупность взаимосвязанных подсистем (функций) и выстраивает их, руководствуясь личным опытом. Декомпозиция проблемы на составляющие строго субъективна: так, капитан, старший механик и электромеханик одного и того же судна, имеющие одинаковый стаж работы на указанном судне, по-разному оценивают значение «своих» стандартов компетентности для безопасности мореплавания. Однако производя оценку в рамках выполнения общей задачи (рейсового задания), они приходят к объективно близким оценкам [6].
Опрос экспертов производился с помощью анкет, изготовленных в виде таблицы размером 7 × 7 ячеек, преобразованной в матрицу парных сравнений А порядка N = 7 (по числу функций Конвенции). В ячейки таблицы эксперт проставлял свои суждения о влиянии дисфункций эргатического элемента на морское происшествие. Под дисфункцией эргатического элемента понимается неисполнение судовым персоналом предписанной ему функции или некорректной ее реализации в такой сложной эргатехнической системе, которой является современное морское судно. Термин «дисфункция» синонимичен английским понятиям dysfunction, malfunction [8]. Предполагается, что экипаж укомплектован в соответствии с действующими нормативными требованиями к безопасности мореплавания.
Попарно ассоциируемые дисфункции отмечались по пятибалльной шкале. При одинаковом влиянии выставлялась 1, сильном – 3, очень сильном – 5, и наоборот, менее сильном – 1/3, гораздо менее сильном – 1/5. Логический анализ дисфункций эксперт осуществляет на основе своего практического опыта.
Определение «веса» функций ПДНВ-78
Обезличенная анкета суждений каждого эксперта представляется в виде бланка с вопросом и таблицей для заполнения (табл. 1).
Таблица 1
Table 1
Фрагмент анкеты суждений эксперта
Fragment of the expert opinion questionnaire
|
Дисфункции |
Судовождение |
Обработка |
Управление |
Судовые |
Электрооборудование, электронная |
Техническое |
Радиосвязь |
|
Коды |
df1 |
df2 |
df3 |
df4 |
df5 |
df6 |
df7 |
|
df1 |
1 |
3 |
3 |
3 |
3 |
1 |
3 |
|
df2 |
1/3 |
1 |
1 |
1 |
1/3 |
1/3 |
3 |
|
df3 |
1/3 |
1 |
1 |
1 |
1/5 |
1/3 |
1 |
|
df4 |
1/3 |
1 |
1 |
1 |
1 |
1 |
1 |
|
df5 |
1/3 |
3 |
5 |
1 |
1 |
1 |
1 |
|
df6 |
1 |
3 |
3 |
1 |
1 |
1 |
3 |
|
df7 |
1/3 |
1/3 |
1 |
1 |
1 |
1/3 |
1 |
На первом этапе производится качество экспертизы, а именно расчет индекса согласованности (ИС) суждений эксперта. Известно, что согласованность положительной обратно симметричной матрицы эквивалентна требованию равенства ее максимального собственного значения λmax с n, т. е. λmax = n. Отклонение от согласованности выражается ИС:
где λmax – наибольшее (по модулю) собственное число матрицы парных сравнений А.
По смыслу значения λmax должно выполняться равенство:
где
– собственный вектор, представляющий после нормализации вектор «весов» дисфункций по суждению эксперта.
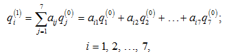
Степенной метод на основе итераций достаточно надежно определяет λmax. Обозначим собственные векторы-столбцы на k-й итерации:
где
– компоненты вектора qk; k – номер итерации.
Показатель степени Т означает, что вектор-строка транспонируется в вектор-столбец. На начальной итерации выбирается вектор-столбец q0 = (1, 0, 0, 0, 0, 0, 0)T, затем итерационный процесс повторяется для k = 1, 2, … до достижения заданной точности вычисления λmax:
На каждом k > 1 шаге рассчитывается наибольший по модулю компонент вектора
:
Таким образом,
является k-м приближением величины λmax:
Итерационный процесс вычисления λmax прекращается при достижении заданной точности ɛ = 0,001:
Обработка результатов анкеты (см. табл. 1) производилась следующим образом – по суждениям эксперта построена матрица А:
После умножения ее на вектор q0 = (1, 0, 0, 0, 0, 0, 0)T справа получим:
Каждый компонент вектора q1 определяется скалярным произведением соответствующей вектор-строки матрицы А на вектор q0 или как сумма покомпонентных произведений первой вектор-строки матрицы А и вектора q0. В общем виде формула имеет вид:
где aij – это элементы матрицы А (i – номер строки; j – номер столбца).
Продолжая итерационный процесс:
определяем приближение к наибольшему собственному числу
для 2-й итерации:
Полученные результаты итераций до k = 10 представлены в табл. 2.
Таблица 2
Table 2
Максимальные значения λmax по итерациям
Maximum values λmax by iteration
|
Итерации |
q2 / q1 |
q3 / q2 |
q4 / q3 |
q5 / q4 |
q6 / q5 |
q7 / q6 |
q8 / q7 |
q9 / q8 |
q10 / q9 |
|
Компоненты вектора |
7 |
8,2 |
7,6 |
7,58 |
7,60 |
7,60 |
7,5949 |
7,5950 |
7,5951 |
|
8 |
7,2 |
7,7 |
7,61 |
7,59 |
7,60 |
7,5957 |
7,5950 |
7,5950 |
|
|
6 |
7,3 |
7,6 |
7,61 |
7,59 |
7,59 |
7,5953 |
7,5951 |
7,5950 |
|
|
9 |
7,7 |
7,5 |
7,58 |
7,60 |
7,60 |
7,5948 |
7,5950 |
7,5951 |
|
|
15 |
7,4 |
7,4 |
7,62 |
7,60 |
7,59 |
7,5947 |
7,5952 |
7,5951 |
|
|
6 |
7,3 |
7,6 |
7,61 |
7,59 |
7,59 |
7,5952 |
7,5951 |
7,5950 |
|
|
6 |
8,2 |
7,6 |
7,56 |
7,60 |
7,60 |
7,5949 |
7,5949 |
7,5951 |
|
|
λmax |
15 |
8,2 |
7,7 |
7,62 |
7,60 |
7,60 |
7,5957 |
7,5952 |
7,5951 |
|
ɛ |
– |
6,8 |
0,5 |
0,13 |
0,02 |
0,0053 |
0,0015 |
0,0005 |
0,0001 |
После десятой итерации процесс можно остановить, поскольку
Таким образом, приближение составляет λmax = 7,5951. Индекс согласованности суждений данного эксперта составляет:
Значение ИС менее 0,1000 свидетельствуют об адекватности суждений эксперта и возможности учета его мнения в общем анализе.
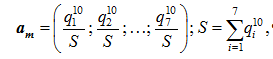
После оценки ИС эксперта нормированием вектора
определяется вектор «весов» дисфункций:
где S – сумма всех компонентов вектора
, m – порядковый номер эксперта.
Используя вектор
, полученный как скалярное произведение соответствующей вектор-строки матрицы А на вектор
, вычисляется вектор «весов»:
Нормируя этот вектор, находим вектор «весов» дисфункций по суждению нашего эксперта (в транс-понированном виде, т. е. в виде вектор-строки):
am = (0,274; 0,0970; 0,0724; 0,1078; 0,1715; 0,1979; 0,0820).
Сумма транспонированных «весов» дисфункций равна 1.
Результаты обработки матриц парных сравнений всех 15-и экспертов приведены в порядке возрастания ИС в итоговой табл. 3.
Таблица 3
Table 3
Итоговая таблица «весов» дисфункций по суждениям респондентов
The final table of the “weights” of dysfunctions according to the judgments of the respondents
|
Респонденты |
«Вес», % |
ИC |
«Весовые» коэффициенты дисфункций |
|||||||
|
df1 |
df2 |
df3 |
df4 |
df5 |
df6 |
df7 |
∑dfi |
|||
|
Эксперт 1 |
100,0 |
0,0000 |
0,1429 |
0,1429 |
0,1429 |
0,1429 |
0,1429 |
0,1429 |
0,1429 |
1,000 |
|
Эксперт 2 |
95,0 |
0,0501 |
0,2796 |
0,0961 |
0,1223 |
0,1004 |
0,1223 |
0,2394 |
0,0398 |
1,000 |
|
Эксперт 3 |
94,1 |
0,0590 |
0,2561 |
0,2410 |
0,1023 |
0,0977 |
0,1023 |
0,1588 |
0,0419 |
1,000 |
|
Эксперт 4 |
93,6 |
0,0644 |
0,2901 |
0,1183 |
0,0882 |
0,0698 |
0,1237 |
0,2591 |
0,0508 |
1,000 |
|
Эксперт 5 |
93,6 |
0,0644 |
0,3030 |
0,1011 |
0,1139 |
0,0669 |
0,0669 |
0,2801 |
0,0682 |
1,000 |
|
Эксперт 6 |
92,5 |
0,0748 |
0,2280 |
0,2280 |
0,0489 |
0,0705 |
0,1355 |
0,2420 |
0,0472 |
1,000 |
|
Эксперт 7 |
92,3 |
0,0771 |
0,2606 |
0,2444 |
0,0606 |
0,1199 |
0,0513 |
0,1989 |
0,0643 |
1,000 |
|
Эксперт 8 |
90,1 |
0,0992 |
0,2714 |
0,0970 |
0,0724 |
0,1078 |
0,1715 |
0,1979 |
0,0820 |
1,000 |
|
Эксперт 9 |
89,7 |
0,1034 |
0,2076 |
0,0578 |
0,0876 |
0,1312 |
0,1466 |
0,2076 |
0,1616 |
1,000 |
|
Эксперт 10 |
84,3 |
0,1572 |
0,2726 |
0,1015 |
0,0531 |
0,1277 |
0,2034 |
0,1978 |
0,0440 |
1,000 |
|
Эксперт 11 |
83,9 |
0,1613 |
0,3126 |
0,0417 |
0,0822 |
0,1100 |
0,1460 |
0,2117 |
0,0957 |
1,000 |
|
Эксперт 12 |
81,3 |
0,1875 |
0,2786 |
0,0764 |
0,1119 |
0,1375 |
0,1101 |
0,2436 |
0,0418 |
1,000 |
|
Эксперт 13 |
80,1 |
0,1986 |
0,2641 |
0,2253 |
0,1457 |
0,1230 |
0,0744 |
0,1100 |
0,0575 |
1,000 |
|
Эксперт 14 |
67,4 |
0,3264 |
0,3042 |
0,0449 |
0,1194 |
0,0848 |
0,0935 |
0,2646 |
0,0887 |
1,000 |
|
Эксперт 15 |
43,3 |
0,5667 |
0,3256 |
0,0355 |
0,1774 |
0,0422 |
0,1300 |
0,1544 |
0,1349 |
1,000 |
Круг репрезентативных экспертов, на суждения которых можно полагаться, определяется их ИС, который в определенном смысле отражает уровень его профессионализма. При ИС > 0,10 рекомендуется произвести повторный опрос эксперта или исключить его из числа репрезентативных. В настоящем исследовании повторный опрос не производился ввиду большой загруженности респондентов, данные экспертов с высоким ИС были исключены из расчетов. Были также исключены данные эксперта 1, посчитавшего, что все функции одинаково важны и заполнившего ячейки таблицы единицами. Однако это противоречит изначальному предположению о разновесности дисфункций.
Эксперт 9 отнесен к репрезентативным ввиду незначительного превышения его ИС значения 0,10. Итоговые данные репрезентативных экспертов сведены в табл. 4.
Таблица 4
Table 4
«Весовые» коэффициенты дисфункций от репрезентативных экспертов
“Weighting” coefficients of dysfunctions from representative experts
|
Респонденты |
«Вес», % |
ИC |
«Весовые» коэффициенты дисфункций |
|||||||
|
df1 |
df2 |
df3 |
df4 |
df5 |
df6 |
df7 |
∑dfi |
|||
|
Эксперт 2 |
95,0 |
0,0501 |
0,2796 |
0,0961 |
0,1223 |
0,1004 |
0,1223 |
0,2394 |
0,0398 |
1,000 |
|
Эксперт 3 |
94,1 |
0,0590 |
0,2561 |
0,2410 |
0,1023 |
0,0977 |
0,1023 |
0,1588 |
0,0419 |
1,000 |
|
Эксперт 4 |
93,6 |
0,0644 |
0,2901 |
0,1183 |
0,0882 |
0,0698 |
0,1237 |
0,2591 |
0,0508 |
1,000 |
|
Эксперт 5 |
93,6 |
0,0644 |
0,3030 |
0,1011 |
0,1139 |
0,0669 |
0,0669 |
0,2801 |
0,0682 |
1,000 |
|
Эксперт 6 |
92,5 |
0,0748 |
0,2280 |
0,2280 |
0,0489 |
0,0705 |
0,1355 |
0,2420 |
0,0472 |
1,000 |
|
Эксперт 7 |
92,3 |
0,0771 |
0,2606 |
0,2444 |
0,0606 |
0,1199 |
0,0513 |
0,1989 |
0,0643 |
1,000 |
|
Эксперт 8 |
90,1 |
0,0992 |
0,2714 |
0,0970 |
0,0724 |
0,1078 |
0,1715 |
0,1979 |
0,0820 |
1,000 |
|
Эксперт 9 |
89,7 |
0,1034 |
0,2076 |
0,0578 |
0,0876 |
0,1312 |
0,1466 |
0,2076 |
0,1616 |
1,000 |
Согласно данным табл. 4 формируется единое мнение о «весах» дисфункций, для чего векторы «весов» экспертов нормируются, т. е. определяется их «вес» именно внутри отобранной группы экспертов путем деления «веса» выбранного эксперта в процентах на сумму всех компонентов (от 95,0 до 89,7 %) и дальнейшего деления персонального компонента на полученную сумму. Вектор «весов» экспертов:
aТ = (0,128; 0,127; 0,126; 0,125; 0,125; 0,122; 0,121).
Из колонок df1–df7 табл. 4 формируем Р – матрицу «весов» дисфункций всех экспертов размером 8 × 7 ячеек. Количество строк (восемь) в матрице соответствует количеству репрезентативных экспертов, семь столбцов соответствуют количеству функций ПДНВ-78. Перемножение вектора «весов» самих экспертов
на матрицу P слева (по правилам умножения матриц) позволяет получить единое (общее) мнение экспертов о «весах» дисфункций, т. е. значимости дисфункций:
Получаем общее экспертное суждение о «весах» дисфункций:
wТ = (0,262; 0,148; 0,087; 0,095; 0,115; 0,223; 0,070).
Заключение
Результаты настоящего экспертного мнения согласуются с исследованиями морских происшествий на судах под российским флагом. Так, в работе А. Н. Соболенко отмечается, что количество аварий, связанных с ошибками эксплуатации главных двигателей, достигает в разные годы 28 % от общего числа [8]. В 2020 г. из 60-и аварий, зарегистрированных в российском судоходстве, 50 % отнесено к техническим [5, 9], в 2022 г. из 32-х аварий 15 вызвано поломками СЭУ [10]. За 2011–2018 гг. доля несоответствия судового персонала минимальным стандартам компетентности составляла 0,227 и 0,232 для «судовождения» и «технической эксплуатации и ремонта» соответственно [11]. Технические аварии промысловых судов в Дальневосточном регионе за период с 2011 по 2017 г. составили 38 % [12]. Соизмеримый «вес» ошибок экипажей морских судов указывается в других работах [13].
Таким образом, используя суждения группы экспертов в области безопасности мореплавания, обработанные методом анализа иерархий, установлено, что наиболее значимыми для создания аварийной ситуации являются несоблюдения стандартов функции «судовождение» (дисфункция df1 = 0,262) и функции «техническая эксплуатация и ремонт» (дисфункция df6 = 0,223). Остальные функции Конвенции обладают меньшими «весами». Указанный метод в полной мере применим к решению задач настоящего исследования, позволяет группе специалистов выстроить иерархию компонентов системы с объективным обоснованием профессионализма каждого из экспертов.
1. Mezhdunarodnaia konventsiia o podgotovke i diplomirovanii moriakov i nesenii vakhty 1978 goda (PDMNV-78) s popravkami (konsolidirovannyi tekst) [International Convention on the Training, Certification and Watchkeeping of Seafarers, 1978 (STCW-78), as amended (consolidated text)]. Saint Petersburg, Izd-vo TsNIIMF, 2010. 806 p.
2. Gomziakov M. V. Raspredelenie otvetstvennosti ekipazha po standartam PDNV-78 k morskoi avarii [Allocation of crew responsibility according to STCW-78 standards for marine accidents]. Problemy transporta Dal'nego Vostoka. Doklady nauchno-prakticheskoi konferentsii, 2019, vol. 1, pp. 251-257.
3. Kicha G. P., Nadezhkin A. V., Semeniuk L. A. Novye stokhasticheskie modeli ochistki topliv i masel sudovymi tsentrobezhnymi apparatami so slozhnoi gidrodinamicheskoi obstanovkoi [New stochastic models of fuel and oil purification by shipboard centrifugal apparatuses with complex hydrodynamic conditions]. Morskie intellektual'nye tekhnologii, 2018, no. 4-5 (42), pp. 77-89.
4. Kicha G. P., Semeniuk L. A., Tarasov M. I. Stokhasticheskaia iacheistaia model' ochistki motornogo masla ot mekhanicheskikh primesei ob"emnym fil'trovaniem [Stochastic cellular model of engine oil purification from mechanical impurities by volumetric filtration]. Morskie intellektual'nye tekhnologii, 2020, no. 1-2 (47), pp. 105-112.
5. Nadezhkin A. V., Kicha G. P., Semeniuk L. A. Optimizatsiia rezhimov kombinirovannoi ochistki motornogo masla v sudovykh dizeliakh metodami variatsionnogo ischisleniia [Optimization of combined engine oil purification modes in marine diesels using the methods of calculus of variations]. Morskie intellektual'nye tekhnologii, 2017, no. 3-2 (37), pp. 93-100.
6. SaatyT. L. How to make a decision: The analytic hierarchy process. European Journal of Operational Research, 1990, vol. 48, iss. 1, pp. 9-26. (Saati T. L. Priniatie reshenii. Metod analiza ierarkhii / per. s angl. R. G. Vachnadze. M.: Radio i sviaz', 1993. 316 s.).
7. Tikhomirova A. N., Sidorenko E. V. Modifikatsiia metoda analiza ierarkhii T. Saati dlia rascheta vesov kriteriev pri otsenke innovatsionnykh proektov [Modification of T. Saati's hierarchy analysis method for calculating weights of criteria in the evaluation of innovative projects]. Sovremennye problemy nauki i obrazovaniia, 2012, no. 2, p. 261.
8. Sobolenko A. N., Gomziakov M. V. Nadezhnost' ergaticheskogo elementa v sostave sudovoi energeticheskoi ustanovki [Reliability of the ergatic element in the ship's power plant]. Morskie intellektual'nye tekhnologii, 2021, no. 4-3 (54), pp. 66-71.
9. Sobolenko A. N., Gomziakov M. V. Analiz prichin nekotorykh avariinykh sluchaev sudovykh energeticheskikh ustanovok v Dal'nevostochnom regione v 2020 godu [Analysis of the causes of some accidents of marine power plants in the Far Eastern region in 2020]. Morskie intellektual'nye tekhnologii, 2021, no. 4-3 (54), pp. 72-78.
10. Ogai S. A., Gomziakov M. V., Sobolenko A. N. Analiz prichin otkaza sudovogo dizelia ZGODA-SULZER 6ZA 40S v ekspluatatsii [Analysis of the causes of failure of the ZGODA-SULZER 6ZA40S marine diesel engine in operation]. Vestnik Inzhenernoi shkoly Dal'nevostochnogo federal'nogo universiteta, 2023, no. 3 (56), pp. 70-77.
11. Druz' I. B., Gomziakov M. V. Opredelenie vesovykh koeffitsientov po faktoram vliianiia ergaticheskogo elementa sudna na morskuiu avariinost' v Dal'nevostochnom regione [Determination of weighting coefficients based on the factors of influence of the ergatic element of the vessel on the marine accident rate in the Far Eastern region]. Morskie intellektual'nye tekhnologii, 2020, no. 1-2 (47), pp. 136-144.
12. Sobolenko A. N., Turishchev I. P., Gomziakov M. V., Moskalenko O. V. Analiz tekhnicheskikh otkazov na promyslovykh sudakh v Dal'nevostochnom [Analysis of technical failures on fishing vessels in the Far East]. Vestnik Astrakhanskogo gosudarstvennogo tekhnicheskogo universiteta. Seriia: Morskaia tekhnika i tekhnologiia, 2019, no. 3, pp. 48-55.
13. Gomziakov M. V. Avariinost' na more: ves i tsena chelovecheskogo faktora [Accidents at sea: the weight and price of the human factor]. Morskoi vestnik, 2019, no. 3 (71), pp. 102-104.



